Witam, poniżej przedstawiam obwód który rozwiązałem klasycznie i próbowałem operatorowo. Bardzo proszę o sprawdzenie poprawności rozwiazania w met. klasycznej oraz podanie wskazówek jaki kolejny krok powienem zrobić w met. operatorowej. Met. operatorowa jest o tyle trudna iż nie liczyłem nigdy operatorowo nap. sinusoidalnego oraz tutaj chyba wystapią "pierwiastki".
Ps. w klasycznej zastanawia mnie czy nie powinno sie liczyć tego zadania po uwzględnieniu warunku na R < 2 (√L/C ) oraz skad wzięło sie -90' przy napięciu na kondensatorze. Wiem że arctgφ z modułu wynosi 0 natomiast arctg φ z napięcia = - 90' dlatego że napięcie wyprzedza prąd o 90' ? W związku z tym 0-90' = - 90 ' ?
Z góry dziekuje bardzo za jakąkolwiek odpowiedź.
1. klasycznie przed komutacją
2. klasycznie po komutacji
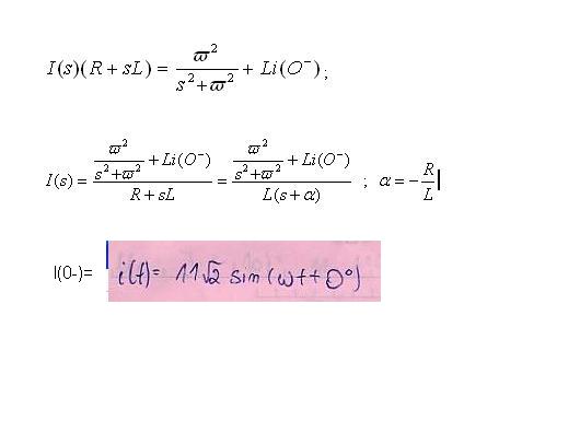
3. operatorowo
Ps. w klasycznej zastanawia mnie czy nie powinno sie liczyć tego zadania po uwzględnieniu warunku na R < 2 (√L/C ) oraz skad wzięło sie -90' przy napięciu na kondensatorze. Wiem że arctgφ z modułu wynosi 0 natomiast arctg φ z napięcia = - 90' dlatego że napięcie wyprzedza prąd o 90' ? W związku z tym 0-90' = - 90 ' ?
Z góry dziekuje bardzo za jakąkolwiek odpowiedź.
1. klasycznie przed komutacją
2. klasycznie po komutacji
3. operatorowo



ponieważ zawsze rozwiązywałem równanie gdy E(s) miało postać E/s a nie w/(s²+ω²).
