logo elektroda
logo elektroda
X
logo elektroda
REKLAMA
REKLAMA
Adblock/uBlockOrigin/AdGuard mogą powodować znikanie niektórych postów z powodu nowej reguły.

[ATMega8] podłączenia fotorezystora.

P-o-l 01 Sty 2009 16:37 8408 4
REKLAMA
  • #1 5933180
    P-o-l
    Poziom 18  
    Witam,

    Po długich poszukiwaniach nie znalazłem sposobu podłączenia fotorezystora do atmega8. Czy ktoś może to wyjaśnić? W PIC można wykorzystać analogowe wyjście ale w AVR nie mam pojęcia.
  • REKLAMA
  • #2 5933201
    karlos79
    Poziom 33  
    Witam
    Można zastosować wejście analogowocyfrowe.
    Fotorezystor, oczywiście łączysz z rezystorem w układ dzielnika napięcia między VCC a GND- środek dzielnika do wejścia analogowocyfrowego.
    Pozdrawiam
  • REKLAMA
  • #3 5933345
    k4be
    Poziom 31  
    Fotorezystor z potencjometrem montażowym w układzie dzielnika napięcia, potem wtórnik (zastosowałem LM324) i ADC. Dzielnik zasilać napięciem Aref (np 5V), wtórnik większym.
    Fotorezystory mają zwykle zbyt dużą rezystancję żeby mogły bez problemu bezpośrednio sterować ADC.
  • REKLAMA
  • #4 5938151
    klops_mops
    Poziom 17  
    Mnie również interesuje ten temat..
    Jestem początkującym i nie wiem jak należy podłączyć wtórnik.

    Wykonałem taki schemat:
    [ATMega8] podłączenia fotorezystora.

    Teraz pytanie, co daje wtórnik, jak należy go podłączyć?
    Jakiej wartości ma być potencjometr montażowy? Wiem, że to zależy od fotorezystora i można było by dobrać jego wartość doświadczalnie, ale ja pytam o wartości takie orientacyjne..

    Z góry dziękuję za odp :)
    Pozdrawiam, Wojtek.
  • #5 5939514
    Dr.Vee
    VIP Zasłużony dla elektroda
    Najpierw zdecyduj, jaki zakres pomiarowy Cię interesuje. Natężenie światła w luxach dla różnych poziomów oświetlenia znajdziesz tutaj: http://en.wikipedia.org/wiki/Lux

    Później czytasz o fotorezystorach, i dowiadujesz się, że $$R = R_{10}\left(\frac{10}{E}\right)^g$$, gdzie $$R_{10}$$ to tzw. rezystancja ciemna (zwykle przy 10 luxach), a $$g$$ to stały współczynnik zależny od materiału światłoczułego, który przyjmuje wartości od 0,5 do 1.

    Włączając rezystor 1M z fotorezystorem 10M dolnej gałęzi dzielnika uzyskujemy wykresy podziału napięcia:
    [ATMega8] podłączenia fotorezystora.

    Alternatywnym sposobem jest zastosowanie fotorezystora do ładowania kondensatora i pomiar napięcia na kondensatorze po upływie zadanego czasu. W takim układzie wtórnik nie będzie potrzebny, poza tym zmieniając czas pomiaru można dobierać obszar największej czułości układu.
    [ATMega8] podłączenia fotorezystora.

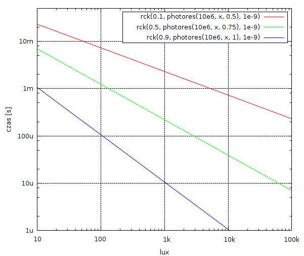
    No i na koniec metoda do zastosowania w układach z komparatorem zamiast ADC - fotorezystor jako element R w układzie RC, tym razem mierzymy czas, po którym napięcie na kondensatorze osiągnie określony poziom (tutaj także nie potrzeba wtórnika). Na poniższym wykresie zmieniają się zarówno poziom napięcia przy którym zadziała komparator(parametr 1) oraz czułość fotorezystora $$g$$ (parametr 2).
    [ATMega8] podłączenia fotorezystora.
    Niestety w ostatniej metodzie dokładność drastycznie spada wraz ze wzrostem natężenia światła.

    W praktycznych zastosowaniach warto pamiętać o tym, że prędkość zmian rezystancji fotorezystora jest zmienna, zależna od natężenia światła i od kierunku zmian (szybki spadek rezystancji przy wzroście natężenia, powolny wzrost przy spadku natężenia).

    Definicje użyte na wykresach:
    rdiv(r1, r2) = r1 / (r1 + r2)
    photores(r, e, g) = r * (10/e) ** g
    rc(t, r, c) = 1 - exp(-t/(r*c))
    rck(k, r, c) = -log(k) * r * c


    Pozdrawiam,
    Dr.Vee
REKLAMA