logo elektroda
logo elektroda
X
logo elektroda
REKLAMA
REKLAMA
Adblock/uBlockOrigin/AdGuard mogą powodować znikanie niektórych postów z powodu nowej reguły.

Teoria sygnałów -Filtr Butterwortha

Fillka 20 Wrz 2009 17:47 2437 2
REKLAMA
  • #1 7038669
    Fillka
    Poziom 2  
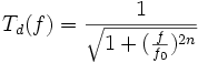
    Witam serdecznie, mam problem z w/w filtrem otoz dostalam zadanie ktore brzmi:

    Jaka jest charakterystyka amplitudowa filtru górnoprzepustowego z częstotliwością odcięcia 100Hz jeżeli został on otrzymany z filtru Butterwortha drugiego rzędu z częstotliwoscią odcięcia 10Hz?

    Szczerze powiem ze glowie sie nad tym zadaniem juz od dawna i zadna ksiazka nie byla w stanie naprowadzic mnie na dobra droge ku rozwiazaniu:). Moze ktos z was to lepiej rozumie? Do tej pory myslalam ze to bedzie ze wzoru:
    Teoria sygnałów -Filtr Butterwortha
    ale im dluzej w tym siedze tym wieksze mam watpliwosci bo po rozwiazaniu wychodza glupoty. Z gory dzieki wszystkim za pomoc.
  • REKLAMA
  • #2 7054848
    sebektomczyk
    Poziom 11  
    Prawie taka sama, jakby nie powstawał z filtra 10 Hz. Powyżej 100 Hz charakterystyka będzie prawie płaska (0 dB), poniżej będzie spadek 40 dB/dekadę.

    Pozdrawiam
    S.Tomczyk
    http://www.stelektronik.pl/
  • #3 7057503
    Fillka
    Poziom 2  
    Wiec jesli wynik moj w zaokragleniu wynosil 0,0001 to bylo to dobre rozwiazanie?
REKLAMA