logo elektroda
logo elektroda
X
logo elektroda
REKLAMA
REKLAMA
Adblock/uBlockOrigin/AdGuard mogą powodować znikanie niektórych postów z powodu nowej reguły.

jak rozwiązać całkę???

Rafał Węgrzyn 25 Cze 2004 02:27 1419 2
REKLAMA
  • #1 710236
    Rafał Węgrzyn
    Poziom 11  
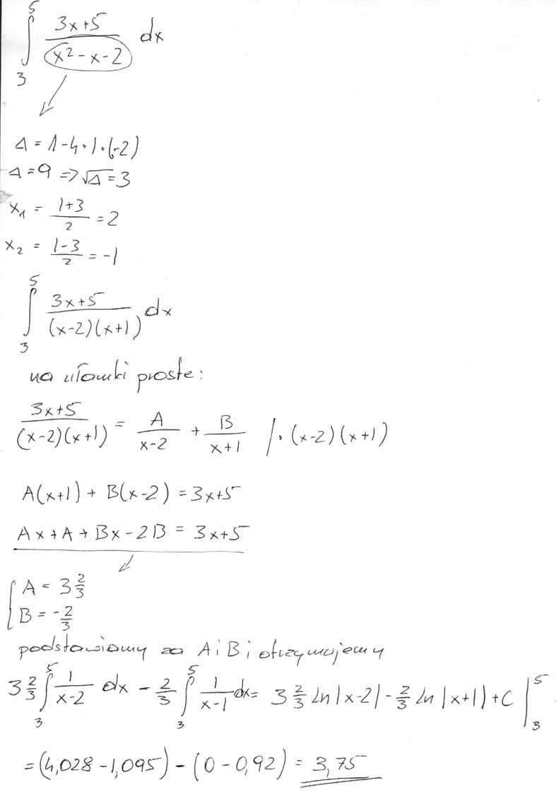
    Prosze o wskazówki dotyczące rozwiązania całki oznaczonej.

    5
    S (3x+5)/(x2-x-2)dx=
    3


    Za pomoc z góry dziękuje i pozdrawiam.
  • REKLAMA
  • #3 711712
    Rafał Węgrzyn
    Poziom 11  
    dzięki pozdrawiam. :wink:
REKLAMA