#1 740013 13 Lip 2004 10:04 walbed walbed Poziom 12 #1 740013 13 Lip 2004 10:04 Czy ktoś posiada tabelę kodów do pilota uniwersalnego KEDISON KE-3 ? pozdrawiam Waldek B.
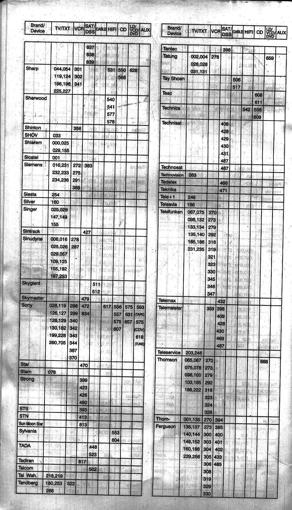
#2 1572744 12 Cze 2005 22:27 serwek serwek Poziom 25 Pomocny post? (+1) #2 1572744 12 Cze 2005 22:27 - Tak proszę: (reszta w krótce) Załączniki: image5.jpg Download (542.62 KB) image4.jpg Download (559.71 KB) image3.jpg Download (555.42 KB) image2.jpg Download (505.97 KB) image1.jpg Download (422.4 KB) Mam na sprzedaż: 25.03.2007 HP Office Jet 1170c - różne sprawne części, elementy 25.03.2007 KABEL do kontrolera MINOLTA Pi 3502 - tzw. "Międzymordzie" 25.03.2007 Różne elementy, moduły i panel, elem.plast. do HP G85, HP 650C, HP 1000, HP III p.... 25.03.2007 Płyta główna HP G85
#3 1572802 12 Cze 2005 22:43 serwek serwek Poziom 25 Pomocny post? (0) #3 1572802 12 Cze 2005 22:43 - następne: Załączniki: inst_obsl9.jpg Download (820.57 KB) image8.jpg Download (558.34 KB) image7.jpg Download (587.12 KB) Mam na sprzedaż: 25.03.2007 HP Office Jet 1170c - różne sprawne części, elementy 25.03.2007 KABEL do kontrolera MINOLTA Pi 3502 - tzw. "Międzymordzie" 25.03.2007 Różne elementy, moduły i panel, elem.plast. do HP G85, HP 650C, HP 1000, HP III p.... 25.03.2007 Płyta główna HP G85