WITAM...
chciałem zrobić widno Hilberta (a także widmo graniczne i energię) na sygnale dyskretnym. Doszedłem do etapu w którym z danego sygnału otrzymałem transformatę Hilberta w postaci zespolonej (jeden wektor zawiera cześć urojoną - drugi rzeczywistą). Dalsze etyapy wyglądają następująco :
http://www.sendspace.pl/file/879feba99d9910677001f2d
I tu pojawia się problem :/
Te wszystkie wzory są dla sygnałów ciągłych i nie wiem jak mam dalej postępować żeby policzyć te widma i energię :/
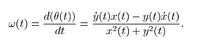
Jeżeli chodzi o częstotliwość to wylicza się ją ze wzoru :
http://www.sendspace.pl/file/9883fd7b6035b56326706f4
gdzie pochodna sygnału :
http://en.wikibooks.org/wiki/Digital_Signal_Processing/Discrete_Operations
i dalej nie wiem co zrobić
jeżeli ktoś potrafiłby mi pomóc...nakierować...byłbym baaardzo wdzięczny

chciałem zrobić widno Hilberta (a także widmo graniczne i energię) na sygnale dyskretnym. Doszedłem do etapu w którym z danego sygnału otrzymałem transformatę Hilberta w postaci zespolonej (jeden wektor zawiera cześć urojoną - drugi rzeczywistą). Dalsze etyapy wyglądają następująco :
http://www.sendspace.pl/file/879feba99d9910677001f2d
I tu pojawia się problem :/
Te wszystkie wzory są dla sygnałów ciągłych i nie wiem jak mam dalej postępować żeby policzyć te widma i energię :/
Jeżeli chodzi o częstotliwość to wylicza się ją ze wzoru :
http://www.sendspace.pl/file/9883fd7b6035b56326706f4
gdzie pochodna sygnału :
http://en.wikibooks.org/wiki/Digital_Signal_Processing/Discrete_Operations
i dalej nie wiem co zrobić
jeżeli ktoś potrafiłby mi pomóc...nakierować...byłbym baaardzo wdzięczny