logo elektroda
logo elektroda
X
logo elektroda
REKLAMA
REKLAMA
Adblock/uBlockOrigin/AdGuard mogą powodować znikanie niektórych postów z powodu nowej reguły.

Jak określa się własności filtrów na podstawie charakterystyki ?

Galkio 07 Sty 2012 02:27 3171 6
REKLAMA
  • #1 10360199
    Galkio
    Poziom 9  
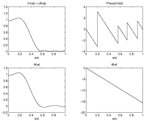
    Witam. Temat ten jest dla mnie nowy, a chcę zrozumieć pewną rzecz na przyszłą wejściówkę z laboratorium. W plikach do moich zajęć znalazłem charakterystykę amplitudową i fazową dla pewnego filtru, a wg. harmonogramu zajęć mam umieć na podstawie charakterystyki określić określić własności tego filtru.

    Jak określa się własności filtrów na podstawie charakterystyki ?

    Czytałem coś na ten temat i jedyne co pasuje mi do opisu górnej charakterystyki to określenie że ma własności filtra środkowo-przepustowego, ale czy to jest pełna odpowiedź ? I co z dolną charakterystyką ?

    W ogóle to w dobrym kierunku poszedłem czy określenie własności filtru polega na czym innym ?

    Pozdrawiam i proszę o pomoc, dziękuje.
  • REKLAMA
  • Pomocny post
    #2 10361616
    Elektronik9
    Poziom 30  
    Górny wykres to charakterystyka amplitudowa (Magnitude) w skali decybelowej, a dolna to fazowa w skali stopniowej.

    Mi to wygląda na filtr dolnoprzepustowy o liniowej fazie w pasmie przepustowym, być może cyfrowy filtr FIR.

    Tam gdzie masz w ch-ce amplitudowej tłumienie w okolicach 0 dB to jest pasmo przepustowe - filtr w tym zakresie przepuszcza sygnał. Oś x to częstotliwość znormalizowana - od 0 Hz do połowy częstotliwości próbkowania.

    Poczytaj w Lyonsie http://www.wkl.com.pl/wprowadzenie-do-cyfrowego-przetwarzania-sygnalow,1,1,1322? i innych podobnych książkach o filtrach i charakterystykach amplitudowo-fazowych a myślę, że temat się rozjaśni...
  • REKLAMA
  • #3 10369958
    Grzybens
    Poziom 13  
    Zdecydowanie jest to filtr dolnoprzepustowy.
    Nie pamiętam już dokładnie jak to jest, ale wydaje mi się że ma on 3 zera.
    (o ile pamiętam świadczą o tym 3 piki na cha-ce amplitudowej i 3 skoki fazy na cha-ce fazowej)
  • REKLAMA
  • #4 10370236
    __Grzegorz__
    Poziom 30  
    Grzybens napisał:
    ...Nie pamiętam już dokładnie jak to jest, ale wydaje mi się że ma on 3 zera.
    (o ile pamiętam świadczą o tym 3 piki na cha-ce amplitudowej i 3 skoki fazy na cha-ce fazowej)

    Bzdura.
    Skoki wartości fazy są o 2pi , więc de facto - ich nie ma....
    Elektronik9 słusznie zauważył, że jest to filtr o liniowej fazie, charakterystyki odniesione do częstotliwości samplowania, więc na 100% jest to FIR dolnoprzepustowy o symetrycznym rozkładzie współczynników filtra.
  • REKLAMA
  • #5 10371219
    Grzybens
    Poziom 13  
    Cytat:
    Bzdura.
    Skoki wartości fazy są o 2pi , więc de facto - ich nie ma....
    Elektronik9 słusznie zauważył, że jest to filtr o liniowej fazie, charakterystyki odniesione do częstotliwości samplowania, więc na 100% jest to FIR dolnoprzepustowy o symetrycznym rozkładzie współczynników filtra.


    Właśnie coś mi nie pasowało z tymi skokami. Natomiast czy to całkowicie bzdura to nie wiem. Filtr musi mieć jakieś miejsca zerowe transmitancji, które zerują cha-kę (dla FIR transmitancja jest wielomianem), jeśli są 3 piki które "zerują" cha-kę to przypuszczam że są 3 zera.
    Poza tym, nikt nie pisał, że Elektronik9 się pomylił.
  • #6 10380044
    kspro
    Poziom 27  
    __Grzegorz__ napisał:
    Grzybens napisał:
    ...Nie pamiętam już dokładnie jak to jest, ale wydaje mi się że ma on 3 zera.
    (o ile pamiętam świadczą o tym 3 piki na cha-ce amplitudowej i 3 skoki fazy na cha-ce fazowej)

    Bzdura.
    Skoki wartości fazy są o 2pi , więc de facto - ich nie ma....
    Elektronik9 słusznie zauważył, że jest to filtr o liniowej fazie, charakterystyki odniesione do częstotliwości samplowania, więc na 100% jest to FIR dolnoprzepustowy o symetrycznym rozkładzie współczynników filtra.

    Wszystko pięknie, tylko te skoki fazy de facto jednak są, bo 180° to wcale nie jest 2π, tak więc Grzybens raczej bzdur nie pisał, za to Ty na 100% :P
    Mi to wygląda na filtr dolnoprzepustowy eliptyczny, ale na wszelki wypadek nie będę się upierał.
  • #7 10380390
    __Grzegorz__
    Poziom 30  
    Tak, przyznaję się... Zobaczyłem co chciałem zobaczyć... Napisałem bzdurę, ale tylko o tym że faza zmienia się o 2pi. Resztę podtrzymuję.

    Sytuację niech wytłumaczy ten rysunek:
    Jak określa się własności filtrów na podstawie charakterystyki ?
REKLAMA