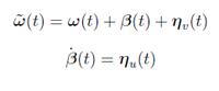
W moim projekcie muszę uwzględnić następujący model czujnika:
ω - wartość rzeczywista
β - bias
η (v i u) - szumy białe
Jak widać bias jest całkowanym szumem białym, czyli jest to szum brązowy (błądzenie losowe).
Jak mogę na podstawie zebrania pomiarów z czujnika wyznaczyć wartość wariancji szumu brązowe przed scałkowaniem (czyli szumu białego dotyczącego pochodnej biasu) ?
Może dam przykład. Mam następujący model wyżej wspomnianego czujnika, bez wartości zadanej - czyli same szumy(w Matlabie):
Jak mogę na podstawie zebranych próbek pomiarowych wyznaczyć wariancję (moc) szumu odpowiedzialnego za błądzenie losowe (czyli jak wyznaczyć to co sobie wpisałem do bloczka 'szum biasu' )?
Może na podstawie gęstości widmowej mocy? -pojawia się taki pik dla niskich częstotliwości który maleje (zgodnie z założeniami szumu brązowego) i dla większych częstotliwości jest już przysłonięty przez szum biały. Ale nie bardzo wiem jak wyłuskać z tej gęstości widmowej odpowiednie informacje na tema obydwu szumów.
Kolejną możliwość jaką znalazłem to posłużenie się wykresem Allan Variance - ale też nie wiem jak z niego uzyskać odpowiednie dane dotyczącego obydwu szumów.
Bardzo proszę o pomoc, ponieważ utknąłem w moim projekcie na tym a muszę uwzględnić właśnie taki model czujnika.
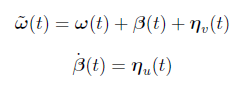
ω - wartość rzeczywista
β - bias
η (v i u) - szumy białe
Jak widać bias jest całkowanym szumem białym, czyli jest to szum brązowy (błądzenie losowe).
Jak mogę na podstawie zebrania pomiarów z czujnika wyznaczyć wartość wariancji szumu brązowe przed scałkowaniem (czyli szumu białego dotyczącego pochodnej biasu) ?
Może dam przykład. Mam następujący model wyżej wspomnianego czujnika, bez wartości zadanej - czyli same szumy(w Matlabie):
Jak mogę na podstawie zebranych próbek pomiarowych wyznaczyć wariancję (moc) szumu odpowiedzialnego za błądzenie losowe (czyli jak wyznaczyć to co sobie wpisałem do bloczka 'szum biasu' )?
Może na podstawie gęstości widmowej mocy? -pojawia się taki pik dla niskich częstotliwości który maleje (zgodnie z założeniami szumu brązowego) i dla większych częstotliwości jest już przysłonięty przez szum biały. Ale nie bardzo wiem jak wyłuskać z tej gęstości widmowej odpowiednie informacje na tema obydwu szumów.
Kolejną możliwość jaką znalazłem to posłużenie się wykresem Allan Variance - ale też nie wiem jak z niego uzyskać odpowiednie dane dotyczącego obydwu szumów.
Bardzo proszę o pomoc, ponieważ utknąłem w moim projekcie na tym a muszę uwzględnić właśnie taki model czujnika.