Witam w kolejnej części cyklu artykułów poświęconych zagadnieniom czasu w aplikacjach elektronicznych w imieniu autora artykułu Gabe Ayala. W poprzedniej części https://www.elektroda.pl/rtvforum/topic2874593.html#13843057 analizowana była odpowiedź elementów zawartych w pętli sprzężenia zwrotnego układu PLL. Z kolei w dzisiejszym odcinku cyklu przyjrzymy się bliżej najpopularniejszym sposobom specyfikowania jitteru (szumu fazowego) w systemach elektronicznych, co powinno pomóc zrozumieć poszczególne zależności i ułatwić analizę kart katalogowych.
Wraz z wzrostem wymagań co do precyzji temporalnej w układach wysokiej szybkości, wzrasta potrzeba pełnego zrozumienia szumu fazowego w nich występującego i w raz z tym zdolność jego opisywania. Od sieci ethernetowych 10 Gbit do ultraszybkich interfejsów takich jak PCIe wymaga się precyzyjnej specyfikacji jitteru poszczególnych elementów toru sygnałowego w celu zapewnienia bezproblemowego transferu danych z wysoką prędkością.
Mówiąc w dużym skrócie jitter jest to rozrzut pomiędzy realną pozycją w czasie zbocza sygnału a 'idealną' jego pozycją. Wykorzystanie sygnałów okresowych jako idealnych sygnałów referencyjnych w rzeczywistych sygnałach z wieloma źródłami szumu, takimi jak źródło zasilania, szum termiczny elementów oraz interferencje pomiędzy sąsiednimi liniami można opisać na poniższych obrazkach. Na pierwszym z nich (poniżej) znajduje się ideowe przedstawienie sygnału idealnego (po lewej) i jego widmo częstotliwościowe (po prawej).
Wraz z zaszumianiem sygnału, powodującym jego degradację, wkrada się do niego szum fazowy. Na poniższej ilustracji zaprezentowano schematycznie zaszumiony sygnał (po lewej) i jego widmo energii (po prawej). Widać iż widmo, będące w idealnym przypadku pojedynczą linią, w przypadku rzeczywistym przypomina krzywą Gaussa. Zjawisko poszerzania spektrum sygnału zwane jest właśnie jitterem.
Szum fazowy może być rozbity na kilka podklas, co pozwala na specyfikowanie każdej z nich osobno, wraz z ich specyficznymi własnościami i metodami pomiarowymi. Podstawowymi klasami, które zostaną omówione poniżej są, jitter okresowy, jitter trwania okresu oraz jitter fazowy. Jakkolwiek nie są to wszystkie sposoby opisywania i mierzenia szumu fazowego w systemach elektronicznych, skupimy się dla uproszczenia tylko na nich.
Jitter okresowy
Ten rodzaj jitteru opisuje się jako odchylenie trwania jednego okresu sygnału rzeczywistego od jego idealnej wartości. Poprzez losowe wybranie pewnej ilości cykli sygnału możemy zmierzyć średni czas trwania okresu sygnału zegarowego (który powinien, w przybliżeniu, być równy wartości idealnej) a także odchylenie standardowe oraz wartości skrajne. Odchylenie standardowe tej wartości nazywa się jitterem RMS, a wartości skrajne nazywa jitterem p-p (analogicznie do wartości międzyszczytowej sygnału elektrycznego - przyp. tłum.).
Z uwagi na losowy charakter jitteru, spełniający rozkład Gaussa, rozkład jego energii opisuje w pełni wartość średnia oraz odchylenie standardowe. Jednakże z punktu widzenia praktycznego w elektronice dużo wygodniej jest posługiwać się wartością jitteru p-p. Znając tą wartość można oszacować odpowiednio wszystkie czasy i marginesy bezpieczeństwa dla systemu. Aby wyznaczyć wartość jitteru p-p, posłużyć musimy się zależnością:
Odpowiednią wartość σ odczytujemy z normalnego rozkładu gęstości prawdopodobieństwa, co zaprezentowano w poniższej tabeli. Korzystamy z niego następująco: dla znanej próby N cyklu zegarowegych N-1 z nich będzie miało czas trwania oddalony o σ*N od wartości średniej rozkładu. Tyko w takim przypadku pojedynczy okres spośród wszystkich N wypadnie poza ten zakres. Współczynnik błędnych bitów w transmisji (BER) używa się bezpośrednio jako BER = 1/N.
jitter trwania okresu
Ta specyfikacja jitteru jest o tyle różna od powyższej iż podaje się tutaj wariację czasu trwania dwóch sąsiadujących (następujących po sobie) okresów zegarowych. Wybiera się do tego losowo dwa następujące po sobie okresy sygnału zegarowego i zbiera się, typowo, powyżej 1000 próbek. Szczytowa wartość odchylenia pomiędzy sąsiednimi cyklami jest właśnie nazywana jitterem trwania okresu w analizowanym sygnale. Wartość ta jest niezwykle przydatna podczas projektowania systemów wykorzystujących sygnały zegarowe o rozmytym widmie, jako że jitter ten jest bardzo podatny na intencjonalne rozmywanie widma częstotliwościowego sygnału taktującego.
Jitter fazowy
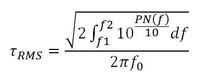
Jeśli spojrzymy na widmo częstotliwościowe badanego sygnału, wartości szumu przy pewnych określonych częstotliwościach (przesuniętych o pewien offset od podstawowej częstotliwości sygnału) nazywane są szumem fazowym. Na przykłąd -110 dBc/Hz przy 12 MHz lub -70 dBc/Hz przy 50 kHz, gdzie 12 MHz i 50 kHz to właśnie wspomniany offset.
Wyznaczenie dyskretnych punktów do podawania szumu fazowego w całym zakresie pracy układu, a następnie całkowanie otrzymanych wartości opisuje poniższe równanie. W równaniu tym f0 to częstotliwość podstawowa sygnału a f1 i f2 to granice zakresu który poddajemy całkowaniu (po jednej stronie widma, które zakładamy iż jest symetryczne względem częstotliwości f0).
Tego rodzaju specyfikacja szumu fazowego jest podobna do jitteru okresowego, jednakże w tym przypadku rozkład okresów trwania cyklu zegarowego generowany jest przez rozkład ich częstotliwości. Jest to niezwykle istotna wartość przy projektowaniu systemów komunikacyjnych a także systemów akwizycji danych, wykorzystujących przetworniki ADC i DAC gdyż pozwala, wykorzystując filtry pasmowe, tworzenie pewnych zakresów, gdzie szum fazowy może być wyraźnie niższy.
Błąd interwału czasu
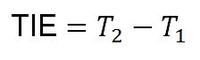
Błąd interwału czasu (TIE, ang. Time Interval Error) opisuje się jako dewiację częstotliwości sygnału zegarowego względem jakiegoś idealnego przebiegu referencyjnego. Poniższy wzór pokazuje w jaki sposób dokonuje się tego pomiaru. W tym przypadku idealny sygnał generowany jest przez urządzenie pomiarowe, a sygnał pochodzący z opomiarowywanego układu jest z nim porównywany (patrz ilustracja niżej).
Pomiary wartości TIE przydatne są w aplikacjach w których zegar taktujący transmisję odczytywany jest w strumienia danych, wykorzystując układy, tak zwanego, CDR (ang. [i]Clock/Data Recovery). Duże wartości TIE są dobrym wskaźnimiek iż odzyskany zegar PLL nie jest w stanie nadążyć za zmieniającą się częstotliwością transmisji danych.
Źródło:
http://e2e.ti.com/blogs_/b/analogwire/archive...ming-is-everything-jitter-specifications.aspx
Wraz z wzrostem wymagań co do precyzji temporalnej w układach wysokiej szybkości, wzrasta potrzeba pełnego zrozumienia szumu fazowego w nich występującego i w raz z tym zdolność jego opisywania. Od sieci ethernetowych 10 Gbit do ultraszybkich interfejsów takich jak PCIe wymaga się precyzyjnej specyfikacji jitteru poszczególnych elementów toru sygnałowego w celu zapewnienia bezproblemowego transferu danych z wysoką prędkością.
Mówiąc w dużym skrócie jitter jest to rozrzut pomiędzy realną pozycją w czasie zbocza sygnału a 'idealną' jego pozycją. Wykorzystanie sygnałów okresowych jako idealnych sygnałów referencyjnych w rzeczywistych sygnałach z wieloma źródłami szumu, takimi jak źródło zasilania, szum termiczny elementów oraz interferencje pomiędzy sąsiednimi liniami można opisać na poniższych obrazkach. Na pierwszym z nich (poniżej) znajduje się ideowe przedstawienie sygnału idealnego (po lewej) i jego widmo częstotliwościowe (po prawej).
Wraz z zaszumianiem sygnału, powodującym jego degradację, wkrada się do niego szum fazowy. Na poniższej ilustracji zaprezentowano schematycznie zaszumiony sygnał (po lewej) i jego widmo energii (po prawej). Widać iż widmo, będące w idealnym przypadku pojedynczą linią, w przypadku rzeczywistym przypomina krzywą Gaussa. Zjawisko poszerzania spektrum sygnału zwane jest właśnie jitterem.
Szum fazowy może być rozbity na kilka podklas, co pozwala na specyfikowanie każdej z nich osobno, wraz z ich specyficznymi własnościami i metodami pomiarowymi. Podstawowymi klasami, które zostaną omówione poniżej są, jitter okresowy, jitter trwania okresu oraz jitter fazowy. Jakkolwiek nie są to wszystkie sposoby opisywania i mierzenia szumu fazowego w systemach elektronicznych, skupimy się dla uproszczenia tylko na nich.
Jitter okresowy
Ten rodzaj jitteru opisuje się jako odchylenie trwania jednego okresu sygnału rzeczywistego od jego idealnej wartości. Poprzez losowe wybranie pewnej ilości cykli sygnału możemy zmierzyć średni czas trwania okresu sygnału zegarowego (który powinien, w przybliżeniu, być równy wartości idealnej) a także odchylenie standardowe oraz wartości skrajne. Odchylenie standardowe tej wartości nazywa się jitterem RMS, a wartości skrajne nazywa jitterem p-p (analogicznie do wartości międzyszczytowej sygnału elektrycznego - przyp. tłum.).
Z uwagi na losowy charakter jitteru, spełniający rozkład Gaussa, rozkład jego energii opisuje w pełni wartość średnia oraz odchylenie standardowe. Jednakże z punktu widzenia praktycznego w elektronice dużo wygodniej jest posługiwać się wartością jitteru p-p. Znając tą wartość można oszacować odpowiednio wszystkie czasy i marginesy bezpieczeństwa dla systemu. Aby wyznaczyć wartość jitteru p-p, posłużyć musimy się zależnością:
Jitter p-p = 2σ x (jitter okresowy RMS)
Odpowiednią wartość σ odczytujemy z normalnego rozkładu gęstości prawdopodobieństwa, co zaprezentowano w poniższej tabeli. Korzystamy z niego następująco: dla znanej próby N cyklu zegarowegych N-1 z nich będzie miało czas trwania oddalony o σ*N od wartości średniej rozkładu. Tyko w takim przypadku pojedynczy okres spośród wszystkich N wypadnie poza ten zakres. Współczynnik błędnych bitów w transmisji (BER) używa się bezpośrednio jako BER = 1/N.
jitter trwania okresu
Ta specyfikacja jitteru jest o tyle różna od powyższej iż podaje się tutaj wariację czasu trwania dwóch sąsiadujących (następujących po sobie) okresów zegarowych. Wybiera się do tego losowo dwa następujące po sobie okresy sygnału zegarowego i zbiera się, typowo, powyżej 1000 próbek. Szczytowa wartość odchylenia pomiędzy sąsiednimi cyklami jest właśnie nazywana jitterem trwania okresu w analizowanym sygnale. Wartość ta jest niezwykle przydatna podczas projektowania systemów wykorzystujących sygnały zegarowe o rozmytym widmie, jako że jitter ten jest bardzo podatny na intencjonalne rozmywanie widma częstotliwościowego sygnału taktującego.
Jitter fazowy
Jeśli spojrzymy na widmo częstotliwościowe badanego sygnału, wartości szumu przy pewnych określonych częstotliwościach (przesuniętych o pewien offset od podstawowej częstotliwości sygnału) nazywane są szumem fazowym. Na przykłąd -110 dBc/Hz przy 12 MHz lub -70 dBc/Hz przy 50 kHz, gdzie 12 MHz i 50 kHz to właśnie wspomniany offset.
Wyznaczenie dyskretnych punktów do podawania szumu fazowego w całym zakresie pracy układu, a następnie całkowanie otrzymanych wartości opisuje poniższe równanie. W równaniu tym f0 to częstotliwość podstawowa sygnału a f1 i f2 to granice zakresu który poddajemy całkowaniu (po jednej stronie widma, które zakładamy iż jest symetryczne względem częstotliwości f0).
Tego rodzaju specyfikacja szumu fazowego jest podobna do jitteru okresowego, jednakże w tym przypadku rozkład okresów trwania cyklu zegarowego generowany jest przez rozkład ich częstotliwości. Jest to niezwykle istotna wartość przy projektowaniu systemów komunikacyjnych a także systemów akwizycji danych, wykorzystujących przetworniki ADC i DAC gdyż pozwala, wykorzystując filtry pasmowe, tworzenie pewnych zakresów, gdzie szum fazowy może być wyraźnie niższy.
Błąd interwału czasu
Błąd interwału czasu (TIE, ang. Time Interval Error) opisuje się jako dewiację częstotliwości sygnału zegarowego względem jakiegoś idealnego przebiegu referencyjnego. Poniższy wzór pokazuje w jaki sposób dokonuje się tego pomiaru. W tym przypadku idealny sygnał generowany jest przez urządzenie pomiarowe, a sygnał pochodzący z opomiarowywanego układu jest z nim porównywany (patrz ilustracja niżej).
Pomiary wartości TIE przydatne są w aplikacjach w których zegar taktujący transmisję odczytywany jest w strumienia danych, wykorzystując układy, tak zwanego, CDR (ang. [i]Clock/Data Recovery). Duże wartości TIE są dobrym wskaźnimiek iż odzyskany zegar PLL nie jest w stanie nadążyć za zmieniającą się częstotliwością transmisji danych.
Źródło:
http://e2e.ti.com/blogs_/b/analogwire/archive...ming-is-everything-jitter-specifications.aspx
Fajne? Ranking DIY
