logo elektroda
logo elektroda
X
logo elektroda
REKLAMA
REKLAMA
Adblock/uBlockOrigin/AdGuard mogą powodować znikanie niektórych postów z powodu nowej reguły.

Jak z baterii dającej 10 mW wycisnąć 1 W?

ghost666 29 Gru 2014 18:44 4563 3
REKLAMA
  • W wielu systemach pomiarowych sensory muszą komunikować się z stacja centralną z pomocą transmisji bezprzewodowej, aby przekazywać dane pomiarowe. Jak efektywnie dostarczyć waty mocy do zasilania nadajnika radiowego wykorzystując do tego niewielkie źródło energii o bardzo ograniczonym prądzie wyjściowym, jakim jest bateria oparta o chlorek litu tionylu (Li-SOCL2)? W naszym przykładzie załóżmy iż układ potrzebuje 1 W aby zasilić nadajnik GSM, a z kolei prąd pobierany z baterii powinien być ograniczony do 3 mA, tak aby mogła funkcjonować ona co najmniej 10 lat. Nadajnik wymaga znacznie większego impulsu mocy niż jest w stanie dostarczyć ta niewielka bateria - potrzebny jest zatem jakiś element mogący zgromadzić potrzebną energię dla nadajnika.

    Jak z baterii dającej 10 mW wycisnąć 1 W?


    Superkondensatory są dostępnym komercyjnie i efektywnym sposobem przechowywania energii. Jednakże jak je efektywnie ładować? I co istotniejsze jaki układ ładowania superkondensatora pobiera niewielką moc po naładowaniu kondensatora gdy układ czeka, aż dodatkowa moc będzie potrzebna. Odpowiedź na to znaleźć można w portfolio firmy Texas Instruments.

    Układ TPS62750, tej właśnie firmy, to przetwornica typu buck pobierająca zaledwie 360 nA gdy kondensator nie jest ładowany. Tak niski prąd oznacza że gdy tylko kondensator zostanie naładowany to pobór prądu z baterii jest niezwykle niski. A gdy superkondensator jest w trakcie ładowania niski prąd pobierany przez kontroler przetwornicy i efektywna kontrola z wykorzystaniem DCS oraz odpowiednia topologia pozwala na osiągnięcie wydajności ładowania superkondensatora wynoszącej ponad 90%.

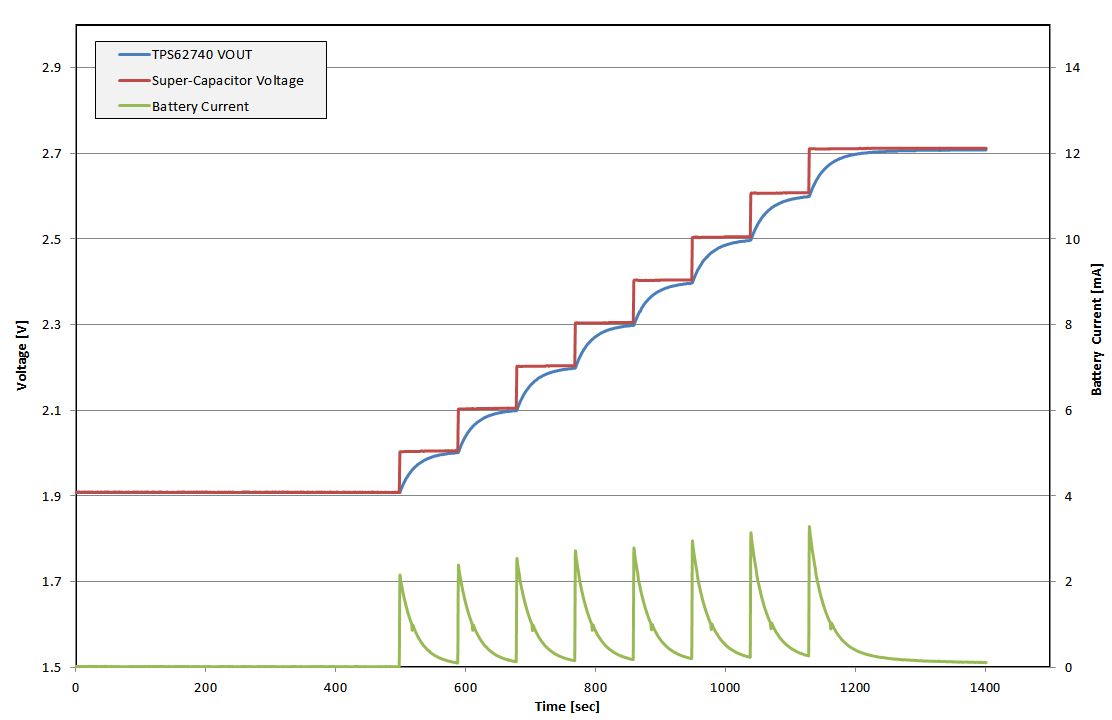
    Aby ograniczyć prąd wyjściowy z baterii, kondensator ładowany jest przez opornik. Poprzez ograniczanie prądu wyjściowego, prąd pobierany z baterii ograniczany jest do około 3 mA, jak widać na poniższym wykresie.

    Jak z baterii dającej 10 mW wycisnąć 1 W?


    Aby utrzymać efektywność ładowania na wysokim poziomie, mikrokontroler zawiaduje ładowaniem poprze 4 piny nazwane VSEL, w układzie TPS62740. Pozwala to na kontrolę napięcia wyjściowego, co oznacza iż napięcie ładujące kondensator zwiększa się w 100 mV krokach, a prąd ładowania pozostaje na podobnym, niskim poziomie.

    Źródło:

    http://e2e.ti.com/blogs_/b/fullycharged/archi...er-dcdc-pwr-alps-lpdc-myti-fullyc-20141219-en

    Fajne? Ranking DIY
    O autorze
    ghost666
    Tłumacz Redaktor
    Offline 
    Fizyk z wykształcenia. Po zrobieniu doktoratu i dwóch latach pracy na uczelni, przeszedł do sektora prywatnego, gdzie zajmuje się projektowaniem urządzeń elektronicznych i programowaniem. Od 2003 roku na forum Elektroda.pl, od 2008 roku członek zespołu redakcyjnego.
    https://twitter.com/Moonstreet_Labs
    ghost666 napisał 11960 postów o ocenie 10197, pomógł 157 razy. Mieszka w mieście Warszawa. Jest z nami od 2003 roku.
  • REKLAMA
  • #2 14275173
    RedForce
    Poziom 24  
    Trzeba wziąć pod uwagę jeszcze prąd samorozładowania superkondensatora, bo to dodatkowe straty energii; jeśli układ ma przesyłać informację w regularnych odstępach czasu, można rozpoczynać ładowanie odpowiednio wcześniej, pozostawiając kondensator rozładowany przez większą część czasu; jeśli jednak nie można przewidzieć chwili transmisji (a musi owa transmisja odbyć się dość szybko), kondensator musi być naładowany przez cały czas, co wiąże się z utratą energii na samorozładowanie.
  • REKLAMA
  • #3 14275325
    ghost666
    Tłumacz Redaktor
    RedForce napisał:
    Trzeba wziąć pod uwagę jeszcze prąd samorozładowania superkondensatora, bo to dodatkowe straty energii; jeśli układ ma przesyłać informację w regularnych odstępach czasu, można rozpoczynać ładowanie odpowiednio wcześniej, pozostawiając kondensator rozładowany przez większą część czasu; jeśli jednak nie można przewidzieć chwili transmisji (a musi owa transmisja odbyć się dość szybko), kondensator musi być naładowany przez cały czas, co wiąże się z utratą energii na samorozładowanie.


    Zależy jak często odbywać ma się transmisja - jeśli raz na kilka dni to istotnie to problematyczne, ale jeśli raz na godzinę to już nie, bo prądy samorozładowywania są nie są tak duże. Jasne że najlepiej ładować kondensator przed transmisją, ale może to wymagać budzenia uC szybciej. Pytanie bardzo dobre i mocno zależne od konkretnej aplikacji.
  • #4 14279374
    gruby1
    Poziom 29  
    Dobre rozwiązanie do urządzeń ratunkowych typu kapoki, tratwy itp. Sygnał ciągły w razie wypadku nie jest potrzebny, wystarczą krótkie impulsy np po 10 sekund co 2 minuty, a ważniejsza jest pewność działania przez powiedzmy 10 lat w trybie czuwania. Same ogniwa całkiem ciekawe, bateria w rozmiarze AA ma pojemność 2,4 Ah, a samorozładowanie na poziomie 1% rocznie!
REKLAMA