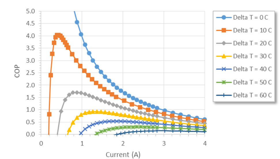
Szukam osób, które chciałyby się podzielić swoimi doświadczeniami pracy z ogniwami Peltiera, zastosowanymi do chłodzenia jakiegoś urządzenia większej mocy. Ja rozważam zastosowanie w/w ogniw jako zamiennika typowej chłodziarki sprężarkowej.
Potrzebuję jednak otrzymać -50 st C w komorze (izolacja poliuretanem) o objętości ok 1/2 m3. Zastanawiam się nad zastosowaniem połączonych kaskadowo płytka w płytkę dwóch-trzech ogniw, aby nie przekroczyć wymaganej różnicy temp dopuszczalnej pomiędzy okładkami ogniwa Peltiera. Czy ktoś z Czytelników eksperymentował w tym obszarze? Drugie pytanie - jakich producentów ogniw unikać (jakość i niezawodność pracy) a których polecacie. Myślę o ogniwach rzędu 120W
Potrzebuję jednak otrzymać -50 st C w komorze (izolacja poliuretanem) o objętości ok 1/2 m3. Zastanawiam się nad zastosowaniem połączonych kaskadowo płytka w płytkę dwóch-trzech ogniw, aby nie przekroczyć wymaganej różnicy temp dopuszczalnej pomiędzy okładkami ogniwa Peltiera. Czy ktoś z Czytelników eksperymentował w tym obszarze? Drugie pytanie - jakich producentów ogniw unikać (jakość i niezawodność pracy) a których polecacie. Myślę o ogniwach rzędu 120W
