Gdy pierwszy model Raspberry Pi pojawił się na rynku w lutym 2012 roku, jego wprowadzenie do sprzedaży zrewolucjonizowało świat hobbystów i sposób realizowania przez nie rozmaitych projektów - pejzaż świata elektroniki zmienił się wtedy nie do poznania, a był to dopiero początek całej serii zmian. Do końca 2016 roku na rynku pojawiło się wiele nowych modeli Raspberry Pi w rozmaitych wersjach sprzętowych. Dostępnych jest siedem różnych wersji Raspberry Pi, wszystkich z nich nabyć można np. poprzez sklep Element14.
O ile taka różnorodność ma wiele zalet dla osób korzystających z tych komputerów, to dla amatora który właśnie wszedł w posiadanie swojej pierwszej 'Maliny' jest to problematyczne, ponieważ nie jest tak łatwo zidentyfikować jaką wersję komputera się posiada. Niektóre wersje modułów są do siebie wizualnie bardzo podobne. Poniższy artykuł ma za zadanie przedstawić poszczególne wersje i zwrócić uwagę na ich charakterystyczne elementy umożliwiające pewne rozpoznanie z jakim modułem mamy do czynienia.
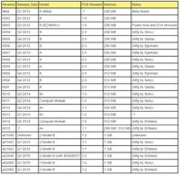
Zanim jednakże zaczniemy rozpoznawać z jakim dokładnie modelem Raspberry Pi mamy do czynienia zapoznajmy się z całą rodziną tych mikrokomputerów. Obecnie dostępnych w handlu jest siedem różnych wariantów RPi, różniących się parametrami. Różnice te zawarte zostały w poniższej tabeli, która podsumowuje podstawowe cechy wszystkich wersji modułów. Zapoznanie się z tabelą pozwoli sprawdzić jakie są zasadnicze różnice i funkcje dostępne w ramach poszczególnych wariantów Raspberry Pi.
Rozpoznawanie Raspberry Pi Model A, A+, B oraz B+
Wczesne wersje Raspberry Pi oparte były na układzie SoC BCM2853 firmy Broadcom, który z kolei posiada w swojej strukturze proces ARM1176JZF-S z 32 bitowym rdzeniem ARM V6. Wszystkie wymienione modele pierwszej płytki: A, A+, B oraz B+, posiadały procesor taktowany zegarem 700 MHz oraz złącze microUSB do zasilania.
Uboższa model A może być łatwo rozpoznany - nie posiada gniazdka Ethernetowego. Do dalszej identyfikacji posłużyć może kształt płytki: model A jest prostokątem o ostrych rogach a z kolei A+ posiada rogi wyraźnie zaokrąglone. Z kolei płytki oznaczone B i B+ obie posiadają ten sam, prostokątny kształt o ostrych rogach i gniazdko Ethernet.
Model be posiada aż 512 MB pamięci RAM, co pięć lat temu, gdy moduły te wchodziły na rynek, było imponującą wartością. Model A i A+ posiada jedynie 256 MB pamięci SDRAM.
Dalsze różnice pomiędzy modelami A/B i A+/B kryją się w miniaturyzacji złącz - modele A i B wyposażone są w klasyczne gniazdo RCA dla wyjścia kompozytowego, a z kolei ich następcy - wersja A+ oraz B+ - gniazdo jack 3,5 mm z 4 polami, gdzie znajduje się sygnał kompozytowy. Podobny los spotkał slot na kartę pamięci - w pierwszych wersjach była to karta SD, a w dalszych mniejsza karta microSD.
Ostatnią z istotnych zmian jest położenie portu microUSB - we wszystkich opisywanych wersjach za wyjątkiem B+, jest ono takie same. W modelu B+ złącze microUSB znajduje się na innej krawędzi PCB obok portu HDMI.
Identyfikacja Raspberry Pi 2 Model B oraz Raspberry Pi 3
Rozróżnienie pomiędzy Raspberry Pi 2 Model B w wersji 1.1 oraz 1.2 jest trudniejsze niż w opisanych powyżej przypadkach, ponieważ fizyczny rozkład elementów na PCB czy jej kształt nie uległy zmianie. Jedyną sprzętową zmianą jest nowszy układ SoC Broadcoma w wersji 1.2. Najprostszym sposobem na rozróżnienie tych dwóch mikrokomputerów jest sprawdzenie napisu na płytce. Zaraz pod listwą z pinami GPIO odnaleźć możemy napis z modelem i wersją płytki. Jeśli z jakiegoś względu na naszym PCB nie będzie tego napisu, to możemy sprawdzić oznaczenie głównego układu RPi. Wersja 1.1 wyposażona jest w BCM2836 a wersja 1.2 w wersję BCM2837.
Zwrócić jednakże należy uwagę, że Raspbery Pi 2 Model B w wersji 1.2 wyposażone jest w ten sam SoC - BCM2837 - co nowszy mikrokomputer RPi 3 Model B. Aby rozróżnić wizualnie z jakim z tych dwóch systemów mamy do czynienia możemy odszukać miedziane pola, znajdujące się pod i po prawej od listwy z pinami GPIO mikrokomputera. Pole po prawej będzie okręgiem, a po lewej kwadratem. Jeśli uda nam się odnaleźć te pola na PCB to oznacza, że płytka którą trzymamy w dłoniach to Raspberry Pi 3 Model B.
Identyfikacja płytek bez patrzenia na PCB
Jeśli z jakiegoś względu nie macie dostępu do PCB, a chcecie sprawdzić z jakim modelem macie do czynienia można odczytać to pośrednio korzystając z systemu operacyjnego. Aby programowo sprawdzić z jakim mikroukładem mamy do czynienia w naszym systemie w linii komend wpisujemy:
Komenda ta zwróci nam pewien napis. Jeśli teraz spojrzymy na cztery ostatnie jego znaki poznać możemy numer rewizji procesora, a z tabeli poniżej odczytać możemy w jakich modelach układy o danej rewizji były instalowane. Pozwoli nam to na poznanie także szeregu innych detali dotyczących posiadanego przez nas mikrokomputera.
Źródło: https://www.element14.com/community/community/raspberry-pi/blog/2016/11/21/how-to-identify-which-model-of-the-raspberry-pi-you-have
O ile taka różnorodność ma wiele zalet dla osób korzystających z tych komputerów, to dla amatora który właśnie wszedł w posiadanie swojej pierwszej 'Maliny' jest to problematyczne, ponieważ nie jest tak łatwo zidentyfikować jaką wersję komputera się posiada. Niektóre wersje modułów są do siebie wizualnie bardzo podobne. Poniższy artykuł ma za zadanie przedstawić poszczególne wersje i zwrócić uwagę na ich charakterystyczne elementy umożliwiające pewne rozpoznanie z jakim modułem mamy do czynienia.
Zanim jednakże zaczniemy rozpoznawać z jakim dokładnie modelem Raspberry Pi mamy do czynienia zapoznajmy się z całą rodziną tych mikrokomputerów. Obecnie dostępnych w handlu jest siedem różnych wariantów RPi, różniących się parametrami. Różnice te zawarte zostały w poniższej tabeli, która podsumowuje podstawowe cechy wszystkich wersji modułów. Zapoznanie się z tabelą pozwoli sprawdzić jakie są zasadnicze różnice i funkcje dostępne w ramach poszczególnych wariantów Raspberry Pi.
Rozpoznawanie Raspberry Pi Model A, A+, B oraz B+
Wczesne wersje Raspberry Pi oparte były na układzie SoC BCM2853 firmy Broadcom, który z kolei posiada w swojej strukturze proces ARM1176JZF-S z 32 bitowym rdzeniem ARM V6. Wszystkie wymienione modele pierwszej płytki: A, A+, B oraz B+, posiadały procesor taktowany zegarem 700 MHz oraz złącze microUSB do zasilania.
Uboższa model A może być łatwo rozpoznany - nie posiada gniazdka Ethernetowego. Do dalszej identyfikacji posłużyć może kształt płytki: model A jest prostokątem o ostrych rogach a z kolei A+ posiada rogi wyraźnie zaokrąglone. Z kolei płytki oznaczone B i B+ obie posiadają ten sam, prostokątny kształt o ostrych rogach i gniazdko Ethernet.
Model be posiada aż 512 MB pamięci RAM, co pięć lat temu, gdy moduły te wchodziły na rynek, było imponującą wartością. Model A i A+ posiada jedynie 256 MB pamięci SDRAM.
Dalsze różnice pomiędzy modelami A/B i A+/B kryją się w miniaturyzacji złącz - modele A i B wyposażone są w klasyczne gniazdo RCA dla wyjścia kompozytowego, a z kolei ich następcy - wersja A+ oraz B+ - gniazdo jack 3,5 mm z 4 polami, gdzie znajduje się sygnał kompozytowy. Podobny los spotkał slot na kartę pamięci - w pierwszych wersjach była to karta SD, a w dalszych mniejsza karta microSD.
Ostatnią z istotnych zmian jest położenie portu microUSB - we wszystkich opisywanych wersjach za wyjątkiem B+, jest ono takie same. W modelu B+ złącze microUSB znajduje się na innej krawędzi PCB obok portu HDMI.
Identyfikacja Raspberry Pi 2 Model B oraz Raspberry Pi 3
Rozróżnienie pomiędzy Raspberry Pi 2 Model B w wersji 1.1 oraz 1.2 jest trudniejsze niż w opisanych powyżej przypadkach, ponieważ fizyczny rozkład elementów na PCB czy jej kształt nie uległy zmianie. Jedyną sprzętową zmianą jest nowszy układ SoC Broadcoma w wersji 1.2. Najprostszym sposobem na rozróżnienie tych dwóch mikrokomputerów jest sprawdzenie napisu na płytce. Zaraz pod listwą z pinami GPIO odnaleźć możemy napis z modelem i wersją płytki. Jeśli z jakiegoś względu na naszym PCB nie będzie tego napisu, to możemy sprawdzić oznaczenie głównego układu RPi. Wersja 1.1 wyposażona jest w BCM2836 a wersja 1.2 w wersję BCM2837.
Zwrócić jednakże należy uwagę, że Raspbery Pi 2 Model B w wersji 1.2 wyposażone jest w ten sam SoC - BCM2837 - co nowszy mikrokomputer RPi 3 Model B. Aby rozróżnić wizualnie z jakim z tych dwóch systemów mamy do czynienia możemy odszukać miedziane pola, znajdujące się pod i po prawej od listwy z pinami GPIO mikrokomputera. Pole po prawej będzie okręgiem, a po lewej kwadratem. Jeśli uda nam się odnaleźć te pola na PCB to oznacza, że płytka którą trzymamy w dłoniach to Raspberry Pi 3 Model B.
Identyfikacja płytek bez patrzenia na PCB
Jeśli z jakiegoś względu nie macie dostępu do PCB, a chcecie sprawdzić z jakim modelem macie do czynienia można odczytać to pośrednio korzystając z systemu operacyjnego. Aby programowo sprawdzić z jakim mikroukładem mamy do czynienia w naszym systemie w linii komend wpisujemy:
Kod: Bash
Komenda ta zwróci nam pewien napis. Jeśli teraz spojrzymy na cztery ostatnie jego znaki poznać możemy numer rewizji procesora, a z tabeli poniżej odczytać możemy w jakich modelach układy o danej rewizji były instalowane. Pozwoli nam to na poznanie także szeregu innych detali dotyczących posiadanego przez nas mikrokomputera.
Źródło: https://www.element14.com/community/community/raspberry-pi/blog/2016/11/21/how-to-identify-which-model-of-the-raspberry-pi-you-have
Fajne? Ranking DIY
