logo elektroda
logo elektroda
X
logo elektroda
REKLAMA
REKLAMA
Adblock/uBlockOrigin/AdGuard mogą powodować znikanie niektórych postów z powodu nowej reguły.

Dobór falownika do silnika 3-fazowego - rozbieżność w parametrach

element 20 Lip 2020 09:42 558 10
REKLAMA
  • #1 18827280
    element
    Poziom 11  
    Witam i proszę o pomoc.

    Potrzebuje dobrać tzw.falownik do zasilania silnika trójfazowego. Na temat Heavy vs Normal Duty oraz różnych możliwości czytałem i oglądałem.
    Natomiast problem mam z samymi parametrami konkretnego urządzenia. W moich obliczeniach są sprzeczne.

    PDF z parametrami silnika:
    https://drive.google.com/file/d/1PizeordgyniBNzEmwEMcnVMw5wwu4Kmi/view?usp=sharing
    (pobrane z https://mall.industry.siemens.com/mall/en/uk/Catalog/Product/1LE1002-1AB52-2AA4 )

    1.Zakładam obciążenie nominalne czyli maksymalne przy nieprzerywanej pracy.
    2.Wyliczam moc pobieraną, ze sprawności oraz mocy oddawanej na wale
    3kW/0,815=3,681kW
    3.Zakładam połączenie a)w gwiazdę 3x400V b)w trójkąt 3x230V
    4.Wyliczam sumę prądów pobieranych ze źródła
    a)3kW/0,815/400V=9,2A
    b)3kW/0,815/230V=16,0A
    5.Wyliczam prąd pozorny ze współczynnika mocy
    a)3kW/0,815/400V/0,85=10,83A
    b)3kW/0,815/230V/0,85=18,83A

    Natomiast prąd podany w parametrach wynosi odpowiednio
    a)6,30A
    b)10,90A

    Dlaczego te wartości nie pokrywają się z moimi wyliczeniami?
  • REKLAMA
  • Pomocny post
    #2 18827356
    Indutronic
    Specjalista Automatyk
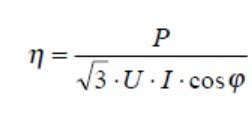
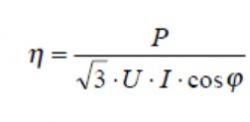
    Dobór falownika do silnika 3-fazowego - rozbieżność w parametrach
    Z tego możesz wyliczyć prąd, wychodzi wtedy 6,33A dla 400V
  • #3 18827553
    element
    Poziom 11  
    Indutronic napisał:
    Dobór falownika do silnika 3-fazowego - rozbieżność w parametrach
    Z tego możesz wyliczyć prąd, wychodzi wtedy 6,33A dla 400V

    Mnie z tego równania wychodzi 6,25A
    https://www.wolframalpha.com/input/?i=3000%2F%28%E2%88%9A3+400+0.815+0.85%29

    Poza tym, czemu ma służyć w tym wzorze √3?
    Ja rozumiem, że √3 służy do przeliczenia prądów/napięć źródeł pomiędzy połączeniami odbiornika w trójkąt, a w gwiazdę aby zachować jednakowe prądy/napięcia na odbiorniku.
    Tak jak tutaj (ja to zrobiłem): http://www.falstad.com/circuit/circuitjs.html...0.8+7+1+640%0Ao+26+64+0+20482+1280+0.1+8+1%0A
  • REKLAMA
  • #5 18827903
    element
    Poziom 11  
    Indutronic napisał:
    Masz rację 6,25~6,3A

    Jest podobna liczba ale 6,25 można zaokrąglić do 6,3 a nie do 6,30
    Poza tym. Mnie bardziej Twój wzór przypomina wzór na moc odbiornika jednofazowego podłączonego pomiędzy fazy.
    https://pl.wikipedia.org/wiki/Moc_czynna#Moc_w_uk%C5%82adach_tr%C3%B3jfazowych
    Gdzie napięcie na odbiorniku jest razy √3 napięcia źródła ale prąd jest jednakowy. Natomiast przy odbiorniku 3 fazowym zarówno napięcie na odbiorniku jak i prąd ze źródła są razy √3. Dlatego we wzorze na moc dwa √3 dają liczbę 3. Pm=3Pf

    Indutronic napisał:
    Trele morele. :D

    Przypuszczam, że moje wyliczenia (pierwszy post) są sprzeczne, bo podane wartości są przy różnym obciążeniu. Na przykład jedne przy biegu jałowym, a drugie przy przeciążeniu zgodnie z jakąś tam normą.
  • REKLAMA
  • #6 18828119
    romulus73
    Poziom 28  
    Obciążenie nominalne nie jest maksymalnym. Typoszereg falownika obiera się do prądu maksymalnego nie mocy.
  • #7 18828270
    element
    Poziom 11  
    element napisał:
    Indutronic napisał:
    Masz rację 6,25~6,3A

    Jest podobna liczba ale 6,25 można zaokrąglić do 6,3 a nie do 6,30
    Poza tym. Mnie bardziej Twój wzór przypomina wzór na moc odbiornika jednofazowego podłączonego pomiędzy fazy.
    https://pl.wikipedia.org/wiki/Moc_czynna#Moc_w_uk%C5%82adach_tr%C3%B3jfazowych
    Gdzie napięcie na odbiorniku jest razy √3 napięcia źródła ale prąd jest jednakowy. Natomiast przy odbiorniku 3 fazowym zarówno napięcie na odbiorniku jak i prąd ze źródła są razy √3. Dlatego we wzorze na moc dwa √3 dają liczbę 3. Pm=3Pf
    Przepraszam. Masz rację. Jest mocne zaokrąglenie mocy i dlatego wychodzi podobna liczba. Natomiast wzór jest tutaj https://pl.wikipedia.org/wiki/Moc_znamionowa#Moc_znamionowa_silnika Właśnie przypomniałem sobie, że był jakiś wzór który pokrywał się z wyliczeniami ale nie z moją analizą. Dlatego zacząłem analizować obwody równoważne itd. Natomiast o tym wzorze zapomniałem. Czyli wyliczenia zgadzają się ale nadal mam wątpliwości - skąd to √3 we wzorze? Co prawda silnik ma opór indukcyjny ale ponieważ moc czynna jest zużywana uważam, że można przyrównać ją analogicznie do mocy pobieranej przez rezystory. Dlatego mój układ oparłem na rezystorach.
    element napisał:


    romulus73 napisał:
    Typoszereg falownika obiera się do prądu maksymalnego nie mocy.
    Słyszałem o tym ale nie rozumiem, bo moc i prąd powinny wynikać z siebie nawzajem. Chyba, że są podawane przy innych obciążeniach i dlatego właśnie moje wyliczenia nie zgadzają się.
  • #8 18828377
    and_rog
    Poziom 23  
    Czytasz tabliczkę znamionową silnika. Jest tam np. I=10A. Zamawiasz falownik z prądem wyjściowym >10A. Done.
  • #9 18828463
    element
    Poziom 11  
    and_rog napisał:
    Czytasz tabliczkę znamionową silnika. Jest tam np. I=10A. Zamawiasz falownik z prądem wyjściowym >10A. Done.
    Do mojego silnika planuje LG/LS iG5A zasilany 3x230V czyli powinienem wybrać model z tabelki "3-phase 200V Class" na stronie: https://www.lselectric.co.kr/products/view/Smart_Automation_Solution/Inverter_-*VFD*-/Low_Voltage_VFD/iG5A

    Słyszałem, że wybierając falownik powinno się sugerować prądem ponieważ sugerując się mocą wybierze się za słaby. Z tym, że w silniku podanym przeze mnie jest odwrotnie. Sugerując się podanym prądem 10,9A wybiorę słabszy model falownika 022, niż sugerując się mocą 3kW falownik 037. Chyba, że u względne przeciążenie prądu przy rozruchu 6,3A*5,4=34A ale ten współczynnik nie dość, że dość sporo zawyża to nie jest podany na tabliczce znamionowej: https://drive.google.com/file/d/121PInHzknSwRuHcb0kJuUs3JAL1RWc4a/view?usp=sharing
  • REKLAMA
  • #10 18828503
    romulus73
    Poziom 28  
    Ponieważ silniki mają różną sprawność, skoro przeczytałeś całą Wikipedię a tego nie znalazłeś to musisz się mocniej skupiać, zrobiłeś topa i walisz wiki aż się niedobrze robi. Przeczytaj ze zrozumieniem i będziesz wiedział jaki falownik masz zamówić, a skoro LG to zadzwoń do Aniro to wszystko ci wytłumaczą.
  • #11 18828567
    Shadowix
    Poziom 31  
    Wybierasz falownik 3,7kW zasilany 3x 400V, bo takie napięcie mamy w Polsce. Prąd falownika 8A > prądu silnika 6,3A = OK.
REKLAMA