logo elektroda
logo elektroda
X
logo elektroda
REKLAMA
REKLAMA
Adblock/uBlockOrigin/AdGuard mogą powodować znikanie niektórych postów z powodu nowej reguły.

Nissan Note E11 HR16DE Automat - Pali 12l/100km w miescie

Rafal328 25 Kwi 2021 21:01 3471 69
REKLAMA
  • #1 19400795
    Rafal328
    Poziom 12  
    Witam,

    Okolo miesiac temu kupilem ten samochod. Pojazd jest bardzo zadbany, ma przejechane okolo 60 tys km - realny przebieg! Dodam, ze na pewno nic samochodu nie spowalnia, jak rozpedze sie do zadanej predkosci, aby ja utrzymac musze wciskac gaz doslownie na milimetry. Cisnienie w oponach prawidlowe. Podpialem interface ELM327 - wiem, ze to lipa, ale taki posiadam. Polaczylem sie za pomoca Car Scanner na Android. Wedlug interface srednie spalanie (wybralem odpowiednia zakladke, w ktorej rysowal sie wykres) wynioslo 4,7l - uwazam, ze takie powinno byc, poniewaz styl jazdy byl adekwatny... Board Computer w samochodzie pokazal za to spalanie 11,6l - czyli zblizone do realnego. Uwazam zatem, ze BC pokazuje spalanie dosc prawidlowo. Dodam, ze tytulowe 12l/100km jest mierzone za pomoca przejechanych km i spalonego paliwa podczas tankowania, wiec spalanie najbardziej dokladne.

    Teraz pytanie co jest nie tak...? Jak za pomoca w/w interface jestem w stanie zdiagnozowac usterke? W programie mam wiele zakladek w ktorych moge podgladac dane na zywo i rysowac odpowiednie wykresy.

    Z gory dziekuje za odpowiedzi i pozdrawiam!

    Edit - dodam, ze miasto nie jest przesadnie zakorkowane, przewaznie jedzie sie sprawnie, skrzyzowan z sygnalizacja swietlna tez nie jest przesadnie duzo...
  • REKLAMA
  • Pomocny post
    #2 19400817
    MikeC
    Poziom 31  
    Rafal328 napisał:
    Polaczylem sie za pomoca Car Scanner na Android. Wedlug interface srednie spalanie (wybralem odpowiednia zakladke, w ktorej rysowal sie wykres) wynioslo 4,7l - uwazam, ze takie powinno byc, poniewaz styl jazdy byl adekwatny...
    Chcesz spalania 4.7 l w mieście w silniku benzynowym 1.6 i automacie ??? Raczej to niemożliwe tak 9 - 10 to normalne wyniki ..
  • #3 19400834
    Rafal328
    Poziom 12  
    MikeC napisał:
    Rafal328 napisał:
    Polaczylem sie za pomoca Car Scanner na Android. Wedlug interface srednie spalanie (wybralem odpowiednia zakladke, w ktorej rysowal sie wykres) wynioslo 4,7l - uwazam, ze takie powinno byc, poniewaz styl jazdy byl adekwatny...
    Chcesz spalania 4.7 l w mieście w silniku benzynowym 1.6 i automacie ??? Raczej to niemożliwe tak 9 - 10 to normalne wyniki ..


    Absolutnie nie chce 4,7l w miescie, ale nie chce rowniez 12L przy naprawde spokojnej jezdzie... Przewaznie w tym miescie rozpedzam sie do 50km/h i pozniej jade dlugo z jednostajna predkoscia...

    To 4,7l wyszlo mi na dystansie bez zadnych swiatel i malej ilosci skrzyzowan (moze z jedno bylo gdzie musialem ustapic pierwszenstwa)... dlatego napisalem, ze to 4,7l jest dosc prawidlowym spalaniem w tych warunkach... nie mowie, ze musi to byc 4,7l moze to byc 6l przy takiej jezdzie, ale na pewno nie 11,6l tyle ile pokazal BC i tyle ile pali w rzeczywistosci...
  • #5 19400888
    Rafal328
    Poziom 12  
    Temperatura jest ok, przesylam dane z piatkowego przejazdu... Dostalem odpowiedz od pewnego chlopaka, ze jemu pali 6-7L w miescie w podobnych warunkach do moich...

    Nissan Note E11 HR16DE Automat - Pali 12l/100km w miescie Nissan Note E11 HR16DE Automat - Pali 12l/100km w miescie
    Nissan Note E11 HR16DE Automat - Pali 12l/100km w miescie Nissan Note E11 HR16DE Automat - Pali 12l/100km w miescie Nissan Note E11 HR16DE Automat - Pali 12l/100km w miescie Nissan Note E11 HR16DE Automat - Pali 12l/100km w miescie Nissan Note E11 HR16DE Automat - Pali 12l/100km w miescie Nissan Note E11 HR16DE Automat - Pali 12l/100km w miescie Nissan Note E11 HR16DE Automat - Pali 12l/100km w miescie Nissan Note E11 HR16DE Automat - Pali 12l/100km w miescie Nissan Note E11 HR16DE Automat - Pali 12l/100km w miescie
  • #6 19400894
    lukasz12345678910
    Poziom 30  
    Zrób spokojna trasę z 200 km i zobacz wtedy spalanie. Jeżeli wyjdzie zbliżone katalogom to nie ma co szukać. Kiedyś kumpel z ASO opla mi mi mówił że astry g 1.4 16v paliły na podjazdach w mieście 12 litrów i nie było na to siły.
  • #7 19400896
    Rafal328
    Poziom 12  
    lukasz12345678910 napisał:
    Zrób spokojna trasę z 200 km i zobacz wtedy spalanie. Jeżeli wyjdzie zbliżone katalogom to nie ma co szukać. Kiedyś kumpel z ASO opla mi mi mówił że astry g 1.4 16v paliły na podjazdach w mieście 12 litrów i nie było na to siły.


    Zrobilem ponad 1,5 tys km i spalanie jest wlasnie w granicach 12l/100km a jezdze naprawde spokojnie
  • REKLAMA
  • #8 19400923
    lukasz12345678910
    Poziom 30  
    No tak. Ale ja rozumiem że masz takie spalanie bujajac się w miejscu, chodzi mi że zatankuj do pełna, przejedź się tam i z powrotem po trasie z 200km i znowu zatankuj.
  • #9 19400928
    Rafal328
    Poziom 12  
    lukasz12345678910 napisał:
    No tak. Ale ja rozumiem że masz takie spalanie bujajac się w miejscu, chodzi mi że zatankuj do pełna, przejedź się tam i z powrotem po trasie z 200km i znowu zatankuj.

    Problem w tym, ze poki co nie mam takiej mozliwosci, ale za jakies 2 tyg postaram sie tak zrobic... Z drugiej strony dlaczego sa rozbieznosci w spalaniu rzeczywistym, ktore jest zblizone do tego co pokazuje board computer i tym, jakie pozakuje interface? Przeciez interface tez jakos to musi liczyc? Myslalem, ze liczy tak samo jak robi to board computer, wtedy wszedzie spalania powinny byc takie same...?

    Edit:

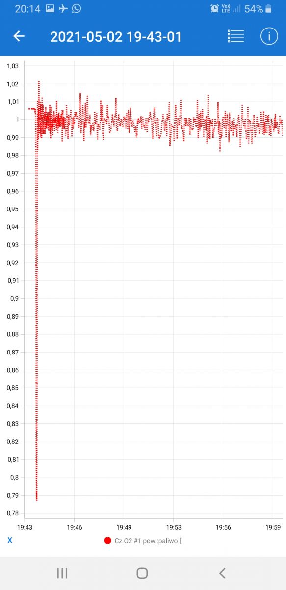
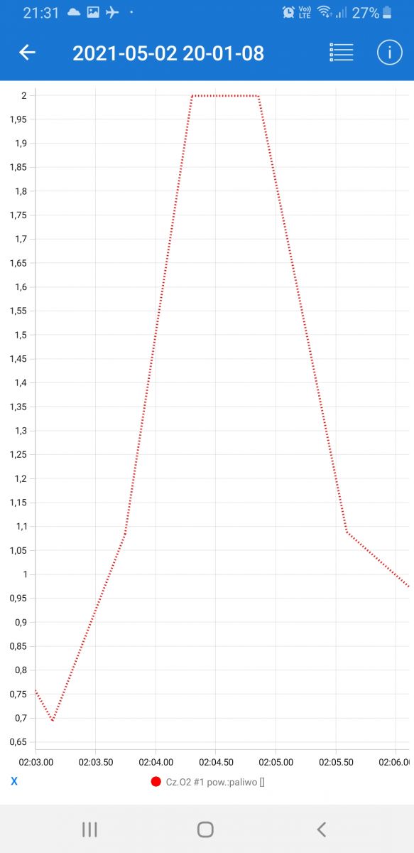
    Oraz te wykresy na sondy lambda - stosunek powietrze - paliwo oraz napiecie sa poprawne?

    Rowniez chwilowe zuzycie paliwa siegajace 75l/100km ...? Przeciez to V8 w moim E39 tak mialo...
  • Pomocny post
    #10 19400970
    lukasz12345678910
    Poziom 30  
    Przecież jakby komputer pokazywał spalanie 75 litrów to ASO by się nie opedzilo od zleceń. W jeepie kolegi 5.2 przy jeździe w górach to zamykało licznik spalania na 99.9. ja bym spróbował to w trasie. Mam w domu Subaru co pali na miejscu 11-12 a na trasie mniej niż 8. Tak ma i już. Jeżeli błędów brak, odczyty sondy, korekty krótko i długoterminowe są w normie to zostaje zagazować jak się da i tyle.
  • #11 19400979
    Rafal328
    Poziom 12  
    lukasz12345678910 napisał:
    Przecież jakby komputer pokazywał spalanie 75 litrów to ASO by się nie opedzilo od zleceń. W jeepie kolegi 5.2 przy jeździe w górach to zamykało licznik spalania na 99.9. ja bym spróbował to w trasie. Mam w domu Subaru co pali na miejscu 11-12 a na trasie mniej niż 8. Tak ma i już. Jeżeli błędów brak, odczyty sondy, korekty krótko i długoterminowe są w normie to zostaje zagazować jak się da i tyle.


    Korekty moge wrzucic, bo tez mam mozliwosc podgladu...
    Odczyty sondy przez ponad 30min jazdy sa w powyzszych wykresach

    Gaz absolutnie, zbyt dobry stan samochodu
  • #12 19406219
    Rafal328
    Poziom 12  
    Nikt Panowie nie pomoze?
  • #13 19406516
    kwok
    Poziom 40  
    Prosta odpowiedź. Auto ważące tonę pali dychę w mieście. Twoje waży 1,2t więc pali 12. Najwięcej kosztuje rozpędzanie auta a z wykresu wynika że rozpędzasz 2-3 razy na minutę i mocno depczesz bo osiągasz chwilowe spalanie nawet 70l/100. Renault scenic 2 1.6 ważący 1,5t takiego wyniku nie osiąga, przynajmniej ja nie potrafiłem takiego wycisnąć. Gdybyś potrafił (albo miał ku temu warunki) jeździć płynniej i więcej przewidywać na drodze to może litr byś urwał. Do tego jest automatem więc litra trzeba doliczyć. Jeśli ci na tym aucie i pieniądzach zależy a nie potrzebujesz bagażnika to zakładaj lpg i nie słuchaj pierdów o niszczycielskim wpływie gazu na auto bo jest zupełnie odwrotnie. Ja kulam na gazie od 20-tu lat. Szczytowy wynik to golf 2 1.3mpi który miał na liczniku 462kkm w dniu wypadku. 200kkm na benzynie, 100kkm u mnie na gazie i reszta u kuzyna. Przed zgonem palił niecały litr oleju na 10kkm więc wynik lepszy od wielu współczesnych aut.
  • REKLAMA
  • #14 19410024
    Rafal328
    Poziom 12  
    Koledzy, nie jest tak! Wlasnie chodzi o to w tym wszystkim, ze nie depcze mocno... naprawde, kurde no... przy rozpedzaniu wciskam tylko troche gazu. Naprawde nie czepialbym sie, bo rozumiem, ze automat i miasto i spalic musi, ale kurcze, nie w takich warunkach jak moje...

    Ostatnio zauwazylem jedna rzecz, zalalem do pelna i jechalem z domu w jedno, a nastepnie po jakichs 2h w drugie miejsce. Trasa w miescie, okolo 30km. Wskazowka od poziomu paliwa w ogole nie drgnela a spalanie na Board Computer zaczelo malec, pomimo, ze kasowalem go jakies 300km wczesniej. A na tej trasie zmalalo o jakies 1,5l. Po nastepnym odpaleniu jest jak bylo, czyli pali te 12-12.5l. Dodam, ze podczas tego "cudownego" spadku spalania, nie zauwazylem, ze samochod pracowal w inny sposob, a przemieszczalem sie wcale NIE w sposob mega ekonomiczny, tylko standardowo...

    Naprawde tutaj jest cos nie tak... moze odlaczyc sondy lamdba i sprobowac pojezdzic na sztywnym stosunku paliwo/powietrze?
  • REKLAMA
  • #16 19410084
    Rafal328
    Poziom 12  
    Witam,

    Wlasnie jechalem do pracy, droga luzna, bo sobota rano, mam jakies 10km... ale jechalo sie jak poza miastem, temperatura silnika rozgrzanego wahala sie od 84 do 86*C.

    Dane o ktore prosiles sa ponizej... sonda nr 2 nie rysuje wykresu, wczesniej raz rysowala raz nie z tego co pamietam, ale moge sie mylic... w poprzednich wykresach nie bylo sondy nr 2

    EDIT:

    Dane sa z biegu jalowego

    Nissan Note E11 HR16DE Automat - Pali 12l/100km w miescie Nissan Note E11 HR16DE Automat - Pali 12l/100km w miescie Nissan Note E11 HR16DE Automat - Pali 12l/100km w miescie Nissan Note E11 HR16DE Automat - Pali 12l/100km w miescie Nissan Note E11 HR16DE Automat - Pali 12l/100km w miescie Nissan Note E11 HR16DE Automat - Pali 12l/100km w miescie Nissan Note E11 HR16DE Automat - Pali 12l/100km w miescie Nissan Note E11 HR16DE Automat - Pali 12l/100km w miescie

    EDIT2:
    Na postoju, po okolo 10min temperatura plynu nadal 86*C a temperatura katalizatora 20*C?

    Nissan Note E11 HR16DE Automat - Pali 12l/100km w miescie Nissan Note E11 HR16DE Automat - Pali 12l/100km w miescie
  • Pomocny post
    #17 19410122
    Piotr520
    Poziom 24  
    W ciągu 40 minut przejechane raptem 12,5km, patrząc na wykres, to prędkość około 25km/h, nijak się to ma do tej jednostajnej jazdy z prędkością 50km/h. Jak już wyżej napisano przejedź tym samochodem z prędkością 80-90 km/h dystans 100-200km i wtedy podaj spalanie.
    Jeżeli adaptacje w normie to i raczej przepływomierz sprawny, ale to nie jest wyznacznik.

    Co do gazu, to nikt nie kupuje starego trupa żeby go gazować, tylko auto w dobrym stanie zakładając że pojeździ te 4-5 lat, bo sekwencja musi się zwrócić a potem to już jeździmy za pół ceny.
  • #18 19410132
    Rafal328
    Poziom 12  
    Z tym 50km/h przesadzilem, fakt... chodzilo mi o to, ze nie ma w miescie olbrzymich korkow, raczej tylko stoi sie na swiatlach i czasem jakis maly koreczek.

    Gaz Panowie odpada... jesli spalanie rzeczywiscie takie bedzie (12l/100km) to bede musial to przezyc... Mieszkam w Londynie i tutaj praktycznie nikt na gazie nie jezdzi...

    Druga sprawa jest to, ze raporty spalania Nota sa na poziomie 7-8l w miescie, zalozmy, ze chodzi o manual, wiec automat niech pali te 9-10l, ale nie 12l...

    Sprawdze ta trase jak bede mogl...

    EDIT:

    Interface znalazl blad U1000, nie wiem czy moze to byc jakakolwiek przyczyna

    Dodano po 4 [godziny] 15 [minuty]:

    Przepraszam, ze post pod postem, ale chcialem, zeby wyswietlilo sie Wam powiadomienie...

    Cos jest nie tak z temperatura plynu chlodniczego, na postoju bez klimy waha sie miedzy 91 - 98*C, natomiast z klima jak wczesniej 84 - 86*C
  • Pomocny post
    #19 19410982
    enhanced
    Poziom 43  
    Rafal328 napisał:
    Cos jest nie tak z temperatura plynu chlodniczego, na postoju bez klimy waha sie miedzy 91 - 98*C, natomiast z klima jak wczesniej 84 - 86*C

    Bo działa wentylator od klimy i chłodzi od razu chłodnice silnika stąd niższa temperatura niż bez klimy.
  • Pomocny post
    #20 19411038
    genek1000
    Poziom 35  
    Rafal328 napisał:
    Cos jest nie tak z temperatura plynu chlodniczego, na postoju bez klimy waha sie miedzy 91 - 98*C, natomiast z klima jak wczesniej 84 - 86*C

    Wg. mnie działanie prawidłowe .
    Jak jest wyłączona klimatyzacja to woda w chłodnicy jest cały czas ciepła ,a dodatkowo jeśli jest chłodny dzień to ograniczona jedynie przez prace termostatu który utrzymuje temperaturę 90 degC +/- parę stopni . Jeśli jest włączona klimatyzacja to automatycznie uruchamiany jest wentylator chłodnicy który obniża wartość temperatury czynnika w skraplaczu do właściwej do działania klimatyzacji temperatury .
    Skutkiem ubocznym jest chłodzenie dodatkowo wody w chłodnicy wody silnika , która w momencie otwarcia termostatu zalewa układ chłodzenia wodą o temperaturę nie jak poprzednio około 80degC ale wychłodzoną do temperatury otoczenia np. 15 deg C . Stąd niższa temperatura wody w silniku podczas pracy klimatyzacji ponieważ termostat ma swoją bezwładność i nie jest w stanie ucelować żeby woda miała 90 deg. C.
    Za wystarczającą temperaturę pracy silnika uznaję się 60-70 deg C więc nie ma to już znaczącego wpływu na spalanie.

    Odnośnie całego tematu o spalaniu to nie wypowiem się na temat nissana ale mogę coś powiedzieć o Dacii . Te same silniki . Masa pojazdu - Duster około 80 kg cięższy . Duster spalanie w małym mieście przy ręcznej skrzyni biegów 8.5-10.5 L/100km .
    Skrzynia automatyczna to straty w układzie napędowym około 15 % . Dodatkowo brak możliwości stosowania Eco drivingu w mieście w pełnym wymiarze . Nie znam skrzyni - podejrzewam że jest to CVT i przy małych prędkościach Lock-up będzie działał w krótkich zakresach pracy skrzyni biegów .
    Dla porównania SCENIC III silnik 2.0 PB wolnossący - skrzynia manualna - spalanie wmieście 10.5 L/100km . Ten sam model scenic III 2.0 PB wolnossący ale z skrzynia JATCO CVT spalanie 13.5 L/100km
    Nie twierdzę że spalanie w NOTE jest prawidłowe ale wysoce prawdopodobne .
    Co do parametrów to nic nie wywnioskujemy z pracy sondy O2 i parametrów składu mieszanki podczas jazdy - potrzebny jest zapis na postoju , silnik rozgrzany , bez obciążenia ( światła , klima itp)
    Dodatkowo widzę z wykresu że sonbda O2 pracuje powyżej napięcia 1.5 V więc wysoce prawdopodobne jest że mamy do czynienia z sondą szerokopasmową ( prądową) i analiza jej zachowania raczej nic nam nie da
  • #21 19411177
    Rafal328
    Poziom 12  
    Dzieki za odpowiedzi. Z ta klima macie racje. Wylaczylem klime, przejechalem, spalanie to samo...

    Skrzynia nie jest CVT, przy malych predkosciach lockup dziala ok, przy gwaltownym dodaniu gazu wyrywa do przodu jak manual. Tak samo rusza z piskiem opon jak dziki.

    Tak, sonda szerokopasmowa... Dlaczego nie rysuje wykresu sondy diagnostycznej?

    Czyli ten silnik umie spalac normalne ilosci paliwa (przyklad Dustera).

    Dodam, ze dzis po odpaleniu silnika o temperaturze ponad 60*C czulem bogata mieszanke

    A te korekty krotko i dlugoterminowe z pow wykresow na postoju sa ok?
  • #22 19411212
    enhanced
    Poziom 43  
    Z jazdy jeszcze zrób wykresy sond czy zaskoczy druga. OGólnie pierwsza powinna mieć większy zakres napięcia i bardziej falować ale może to wina że to przez ELMa idzie i tak rzadki odczyt jest robiony.

    jest tylko jeden błąd co podałeś?
  • #23 19411232
    Rafal328
    Poziom 12  
    enhanced napisał:
    Z jazdy jeszcze zrób wykresy sond czy zaskoczy druga. OGólnie pierwsza powinna mieć większy zakres napięcia i bardziej falować ale może to wina że to przez ELMa idzie i tak rzadki odczyt jest robiony.

    jest tylko jeden błąd co podałeś?


    Jutro zrobie. Tak blad byl jeden. Nie wiem czy pojawil sie znow, po wykasowaniu nie bylo...

    Nie pamietam dokladnie, ale wydaje sie mi, ze przed skasowaniem go stosunek mieszanki falowal na postoju, a teraz bylo rowne "1"
  • #25 19412553
    BANANvanDYK
    Poziom 42  
    Może sprawdź kolor elektrod świec zapłonowych. Jeżeli są ciemne lub pokryte sadzą to by oznaczało pracę na bogatej mieszance, co wskazywałoby na fałszywy odczyt ze sondy lambda.
  • #26 19413031
    Rafal328
    Poziom 12  
    Witam,

    Swiece chcialem wykrecic, ale musze demontowac kolektor ssacy, wiec zaraz wymiana uszczelek itp, zeby lewego powietrza nie bral...

    Rura wydechowa jest okopcona, ale dzis na rozgrzanym nie czulem bogatej mieszanki...

    Przesylam wykresy, dodalem ich wiecej. Dodam, ze teraz pokazuje inne korekty dlugoterminowe niz kiedys...

    Prosze kliknijcie oryginalny obraz, wtedy widac opis co jest co, ale mimo wszystko podpisze


    PODCZAS ROZGRZEWANIA NA POSTOJU, OBROTY JALOWE, ODBIORNIKI WYLACZONE

    Wzgledne polozenie przepustnicy
    Nissan Note E11 HR16DE Automat - Pali 12l/100km w miescie
    Temperatura plynu chlodniczego
    Nissan Note E11 HR16DE Automat - Pali 12l/100km w miescie
    Temperatura katalizatora
    Nissan Note E11 HR16DE Automat - Pali 12l/100km w miescie
    Stosunek paliwo/powietrze
    Nissan Note E11 HR16DE Automat - Pali 12l/100km w miescie
    Polozenie przepustnicy
    Nissan Note E11 HR16DE Automat - Pali 12l/100km w miescie
    Obroty silnika
    Nissan Note E11 HR16DE Automat - Pali 12l/100km w miescie
    Obciazenie silnika
    Nissan Note E11 HR16DE Automat - Pali 12l/100km w miescie
    MAF sensor
    Nissan Note E11 HR16DE Automat - Pali 12l/100km w miescie
    Korekta krotkoterminowa
    Nissan Note E11 HR16DE Automat - Pali 12l/100km w miescie
    Korekta dlugoterminowa
    Nissan Note E11 HR16DE Automat - Pali 12l/100km w miescie
    Kontrola silownika przepustnicy
    Nissan Note E11 HR16DE Automat - Pali 12l/100km w miescie
    Kat wyprzedzenia zaplonu
    Nissan Note E11 HR16DE Automat - Pali 12l/100km w miescie
    Lamda 1 stosunek paliwo/powietrze
    Nissan Note E11 HR16DE Automat - Pali 12l/100km w miescie
    Lambda 1 napiecie
    Nissan Note E11 HR16DE Automat - Pali 12l/100km w miescie
    Bezwzgledne polozenie pedalu przyspieszenia E
    Nissan Note E11 HR16DE Automat - Pali 12l/100km w miescie
    Bezwzgledne polozenie pedalu przyspieszenia D
    Nissan Note E11 HR16DE Automat - Pali 12l/100km w miescie
    Bezwzgledne obciazenie silnika
    Nissan Note E11 HR16DE Automat - Pali 12l/100km w miescie
    Bezwzgledne polozenie przepustnicy B
    Nissan Note E11 HR16DE Automat - Pali 12l/100km w miescie


    JAZDA, MOCNE OBCIAZANIE SILNIKA

    Wzgledne polozenie przepustnicy
    Nissan Note E11 HR16DE Automat - Pali 12l/100km w miescie
    Temperatura plynu chlodniczego
    Nissan Note E11 HR16DE Automat - Pali 12l/100km w miescie
    Temperatura katalizatora
    Nissan Note E11 HR16DE Automat - Pali 12l/100km w miescie
    Stosunek paliwo/powietrze
    Nissan Note E11 HR16DE Automat - Pali 12l/100km w miescie
    Polozenie przepustnicy
    Nissan Note E11 HR16DE Automat - Pali 12l/100km w miescie
    Obroty silnika
    Nissan Note E11 HR16DE Automat - Pali 12l/100km w miescie
    Obciazenie silnika
    Nissan Note E11 HR16DE Automat - Pali 12l/100km w miescie
    MAF sensor
    Nissan Note E11 HR16DE Automat - Pali 12l/100km w miescie
    Korekta krotkoterminowa
    Nissan Note E11 HR16DE Automat - Pali 12l/100km w miescie
    Korekta dlugoterminowa
    Nissan Note E11 HR16DE Automat - Pali 12l/100km w miescie
    Kontrola silownika przepustnicy
    Nissan Note E11 HR16DE Automat - Pali 12l/100km w miescie
    Kat wyprzedzenia zaplonu
    Nissan Note E11 HR16DE Automat - Pali 12l/100km w miescie
    Lamda 1 stosunek paliwo/powietrze
    Nissan Note E11 HR16DE Automat - Pali 12l/100km w miescie
    Lambda 1 napiecie
    Nissan Note E11 HR16DE Automat - Pali 12l/100km w miescie
    Bezwzgledne polozenie pedalu przyspieszenia E
    Nissan Note E11 HR16DE Automat - Pali 12l/100km w miescie
    Bezwzgledne polozenie pedalu przyspieszenia D
    Nissan Note E11 HR16DE Automat - Pali 12l/100km w miescie
    Bezwzgledne obciazenie silnika
    Nissan Note E11 HR16DE Automat - Pali 12l/100km w miescie
    Bezwzgledne polozenie przepustnicy B
    Nissan Note E11 HR16DE Automat - Pali 12l/100km w miescie


    PO OSTREJ JEZDZIE, OBROTY JALOWE, ODBIORNIKI WYLACZONE

    Wzgledne polozenie przepustnicy
    Nissan Note E11 HR16DE Automat - Pali 12l/100km w miescie
    Temperatura plynu chlodniczego
    Nissan Note E11 HR16DE Automat - Pali 12l/100km w miescie
    Temperatura katalizatora
    Nissan Note E11 HR16DE Automat - Pali 12l/100km w miescie
    Stosunek paliwo/powietrze
    Nissan Note E11 HR16DE Automat - Pali 12l/100km w miescie
    Polozenie przepustnicy
    Nissan Note E11 HR16DE Automat - Pali 12l/100km w miescie
    Obroty silnika
    Nissan Note E11 HR16DE Automat - Pali 12l/100km w miescie
    Obciazenie silnika
    Nissan Note E11 HR16DE Automat - Pali 12l/100km w miescie
    MAF sensor
    Nissan Note E11 HR16DE Automat - Pali 12l/100km w miescie
    Korekta krotkoterminowa
    Nissan Note E11 HR16DE Automat - Pali 12l/100km w miescie
    Korekta dlugoterminowa
    Nissan Note E11 HR16DE Automat - Pali 12l/100km w miescie
    Kontrola silownika przepustnicy
    Nissan Note E11 HR16DE Automat - Pali 12l/100km w miescie
    Kat wyprzedzenia zaplonu
    Nissan Note E11 HR16DE Automat - Pali 12l/100km w miescie
    Lamda 1 stosunek paliwo/powietrze
    Nissan Note E11 HR16DE Automat - Pali 12l/100km w miescie
    Lambda 1 napiecie
    Nissan Note E11 HR16DE Automat - Pali 12l/100km w miescie
    Bezwzgledne polozenie pedalu przyspieszenia E
    Nissan Note E11 HR16DE Automat - Pali 12l/100km w miescie
    Bezwzgledne polozenie pedalu przyspieszenia D
    Nissan Note E11 HR16DE Automat - Pali 12l/100km w miescie
    Bezwzgledne obciazenie silnika
    Nissan Note E11 HR16DE Automat - Pali 12l/100km w miescie
    Bezwzgledne polozenie przepustnicy B
    Nissan Note E11 HR16DE Automat - Pali 12l/100km w miescie
  • #28 19413074
    Rafal328
    Poziom 12  
    Nie jestem pewien czy ona faluje, po prostu mocno przyspieszalem i hamowalem, bo jezdzilem po osiedlowych uliczkach, tak jakby podczas wcisniecia gazu bylo na 2 a podczas hamowania 0,7. Zrobilem takich przyspieszen/hamowan wlasnie tyle ile jest wierzcholkow na wykresie lambdy.

    Nie bylo sondy nr2. Jest, ale nie rysuje

    A temp katalizatora po dluzszym postoju wychladza do 20*C
  • Pomocny post
    #29 19413080
    T5
    Admin grupy Samochody
    Ja bym sondę przed katalizatorem wymienił. Wykres ma być płynny bez zacięć.
    Bardzo podobnie miałem w swoim Lancerze. Pozwalał sobie na 15 litrów gazu nie zależnie od jazdy. Teraz mieści się w 11 przy jeździe autostradowej tak do 170km/h.
  • #30 19413086
    Rafal328
    Poziom 12  
    Powiekszylem Wam jeden wierzcholek lambdy przy przyspieszaniu

    Nissan Note E11 HR16DE Automat - Pali 12l/100km w miescie

Podsumowanie tematu

Użytkownik zgłasza problem z wysokim spalaniem w Nissan Note E11 z silnikiem HR16DE, który wynosi około 12 l/100 km w mieście, mimo spokojnej jazdy. Po podłączeniu interfejsu ELM327 i aplikacji Car Scanner, użytkownik zauważył, że średnie spalanie wynosi 4,7 l/100 km, co jest znacznie niższe niż wskazania komputera pokładowego (BC) wynoszące 11,6 l/100 km. W dyskusji poruszono różne możliwe przyczyny, takie jak nieprawidłowe działanie sondy lambda, nieszczelności w układzie wydechowym, a także wpływ automatycznej skrzyni biegów na spalanie. Użytkownik przeprowadził testy, które wykazały, że po odłączeniu sondy spalanie znacznie spadło, co sugeruje, że problem może leżeć w samej sondzie. Wskazano również na konieczność sprawdzenia świec zapłonowych oraz ewentualnych nieszczelności w układzie EGR.
Podsumowanie wygenerowane przez model językowy.
REKLAMA