logo elektroda
logo elektroda
X
logo elektroda
REKLAMA
REKLAMA
Adblock/uBlockOrigin/AdGuard mogą powodować znikanie niektórych postów z powodu nowej reguły.

Rigol DHO924S w praktyce: pomiar czasu narastania

(Sponsorowany) magic9 23 Lut 2024 11:21 3090 9
REKLAMA
  • Rigol DHO924S w praktyce: pomiar czasu narastania


    Rigol DHO924S w praktyce: pomiar czasu narastania


    Weź udział w konkursie NDN „Oscyloskop bez granic” do 31 marca 2024
    Do wygrania atrakcyjne urządzenia! Kliknij tu i dowiedz się więcej




    To jest trzeci artykuł pokazujący parametry i możliwości budżetowych oscyloskopów Rigol, pochodzących z nowej serii, oznaczonej DHO. Artykuł pokazuje, jak można w zaskakująco prosty sposób zmierzyć czas narastania oraz jak wykorzystać oscyloskop do badania szybkich przebiegów impulsowych.

    W pierwszym oraz w drugim artykule serii poświęconej popularnym nowoczesnym oscyloskopom przedstawiłem podstawowe informacje o oscyloskopie DHO924S.
    Jednym z najważniejszych, a właściwie najważniejszym parametrem jest pasmo przenoszenia oraz nieodłącznie z tym związany czas narastania i opadania. Stare i kultowe już oscyloskopy Rigol DS1052 są znane z tego, że ich pasmo i czas narastania są lepsze niż podaje specyfikacja. I to nawet bez dodatkowych zabiegów. Fotografia 1 pokazuje, że czas narastania tego 50-megahercowego oscyloskopu jest taki, a nawet lepszy, niż klasycznego oscyloskopu 100-megahercowego (3,5 ns). Na fotografii tytułowej fioletowe strzałki wskazują, że z 250-megahercowym oscyloskopem DHO924S jest podobnie!

    Rigol DHO924S w praktyce: pomiar czasu narastania
    Fotografia 1


    Rysunek 2 przedstawia to dokładniej. Wskazywany przez Rigol DHO924S czas narastania (Rise Time) to 1,334 nanosekundy, natomiast czas opadania (Fall Time) to 1,242 ns. Czyli lepiej niż podane w specyfikacji gwarantowane czasy narastania i opadania oscyloskopu 250-megahercowego, wynoszące 1,4 ns (rysunek 3).

    Rigol DHO924S w praktyce: pomiar czasu narastania
    Rysunek 2


    Rigol DHO924S w praktyce: pomiar czasu narastania
    Rysunek 3


    Bardzo podobne wskazanie czasów narastania i opadania prezentuje rysunek 4, gdzie widzimy impuls o czasie trwania 48 nanosekund.

    Rigol DHO924S w praktyce: pomiar czasu narastania
    Rysunek 4


    Bardzo interesujące jest, skąd pochodzi ten impuls. Otóż wytworzony jest przez baaardzo nietypowy, zaskakująco prosty generator... elektromechaniczny, co widać na poniższej fotografii 5.

    Rigol DHO924S w praktyce: pomiar czasu narastania
    Fotografia 5


    Poznaj ofertę oscyloskopów z serii RIGOL DHO900 tutaj.


    TDR – Time-Domain Reflectometer
    Zarówno fotografia tytułowa, jak i fotografia 5 pokazują, że za pomocą opisywanego budżetowego oscyloskopu można przeprowadzić eksperymenty i pomiary, w których w grę wchodzą czasy rzędu 1 nanosekundy. Czyli w zakresie do niedawna dostępnym tylko dla posiadaczy bardzo kosztownego sprzętu.

    Rigol DHO924S w praktyce: pomiar czasu narastania
    Fotografia 6


    Potwierdza to kolejny interesujący, prosty przykład z fotografii 6. Jest to przykład wykorzystania prostego systemu TDR (time-domain reflectometer) do obserwacji tajemniczych zjawisk falowych. Niektóre efekty falowe dobrze widać na rysunku 7. Temat TDR mogę omówić szerzej w oddzielnym artykule, a teraz chciałbym tylko zwrócić uwagę na kilka szczegółów. Przede wszystkim duża szybkość i szerokie pasmo oscyloskopu zapewniają dobrą rozdzielczość czasową.

    Rigol DHO924S w praktyce: pomiar czasu narastania
    Rysunek 7


    Podkreślam jednak, że widoczny na fotografiach 5, 6 skądinąd bardzo porządny generator Rigol DG2052 NIE jest tu źródłem impulsów o bardzo stromych zboczach. To tylko pomocniczy generator taktujący 100 Hz, który pobudza przekaźnik kontaktronowy – to właśnie przekaźnik jest źródłem impulsów o bardzo stromych zboczach i krótkich impulsów 48 ns, według rysunku 4 i fotografii 5.

    Styki zwilżane rtęcią
    Nie jest to zwykły przekaźnik z „suchym” kontaktronem (dry reed). Przekaźnik zawiera kontaktron przełączny ze stykami zwilżanymi rtęcią (mercury wetted). Właśnie zwilżanie styków ciekłą rtęcią ma szereg zalet, w tym brak drgań styków i przerywania kontaktu w chwilach przełączania. Dawniej takie przekaźniki wykorzystywano w fabrycznych generatorach impulsów o stromych zboczach. Przykładem są dawne generatory Tektronix o numerach 108 i 109.

    Sam styk kontaktronu „rtęciowego” zasadniczo powinien zapewnić czas narastania rzędu kilku pikosekund. Tak, nie nanosekund, tylko pikosekund!

    Jednak w praktyce takiego czasu narastania nie można osiągnąć z uwagi na kształt i rozmiar rurki kontaktronowej. W użytym przeze mnie, 9-woltowym przekaźniku CP Clare HGRM51111 M00 odległość kluczowych wyprowadzeń wynosi 33 mm, co oznacza konieczność stworzenia pętli, czyli jednozwojowej cewki o długości ponad 66 mm. A indukcyjność jest niekorzystna, bo najprościej biorąc, spowalnia zmiany prądu. To bardzo interesujący, odrębny temat, którym możemy się wspólnie zająć. W każdym razie kontaktron ze stykami zwilżanymi rtęcią daje impulsy o bardzo stromych zboczach. Jeżeli montaż nie będzie rozwlekły, to czasy narastania i opadania mogą być krótsze niż 1 nanosekunda.

    Proste generatory „szybkich” impulsów
    Na potrzeby tego artykułu naprędce zbudowałem dwa elektromechaniczne generatory krótkich impulsów o stromych zboczach. Są one pokazane na fotografii 8, a widać je także na fotografii 5. O czasie trwania impulsu decyduje długość kabla. Przy okazji można zbadać dziwne zjawisko, ponieważ kabel staje się swego rodzaju transformatorem! Impuls wyjściowy ma amplitudę równą połowie napięcia zasilania, co widać na fotografii 5, gdzie przy zasilaniu 10 V na ekranie oscyloskopu można odczytać amplitudę impulsu ponad 4,8 V (natomiast rysunek 4 był robiony przy napięciu zasilania 20 V). Co ciekawe, z uwagi na zjawiska falowe czas trwania impulsu jest dwa razy większy niż czas propagacji sygnału przez kabel. Wersja z grubym kablem daje impulsy o długości 48,8 nanosekund, a wersja z cieńszym, krótszym kablem daje impulsy dokładnie 10-nanosekundowe, co uzyskałem skracając kabel do długości 92 cm.

    Rigol DHO924S w praktyce: pomiar czasu narastania
    Fotografia 8


    Fotografia 9 przedstawia szczegóły budowy tych zaskakująco prostych generatorów z przekaźnikami. Po pierwsze takie „kontaktrony” muszą pracować w pozycji pionowej, co pokazuje strzałka na obudowie, żeby rtęć prawidłowo zwilżała styki. Do działania potrzebne jest stałe napięcie zasilające, które wyznaczy amplitudę impulsów wyjściowych (użyte kontaktrony mają maksymalne napięcie pracy 500 V). Napięcie zasilające jest podawane na wewnętrzną żyłę kabla przez rezystor 1-megaomowy. Jak widać, jedną z nóżek tego rezystora zwinąłem na kształt cewki, bardziej dla kaprysu niż z potrzeby.

    Rigol DHO924S w praktyce: pomiar czasu narastania
    Fotografia 9


    Potrzebne jest też źródło sygnału przełączającego kontaktron. Wykorzystałem właśnie generator Rigol DG2072, który wytwarza impulsy prostokątne 10 V o wypełnieniu 50%, zasilające cewkę przekaźnika. Takie przekaźniki na pewno mogą przełączać z częstotliwością 100 Hz, a nawet 200 Hz. U mnie jeden nich prawidłowo pracował do częstotliwości aż 480 Hz!

    Oczywiście cewkę przekaźnika zbocznikowałem diodą, jaką akurat miałem pod ręką i dodałem na wszelki wypadek szeregowy rezystor chroniący generator (47 Ω, a w drugim 100 Ω).

    Na fotografii tytułowej widać wykorzystanie modułu generatora z układem scalonym. Szczegóły pokazuje fotografia 10. Można się dopatrzyć, że pracuje tam bardzo popularna kostka 7414 (sześć inwerterów „ze szmitem”), ale nie w odmianie 74HC14 ani 74AC14, tylko w odmianie 74AHC14. To kolejny interesujący temat – stromość zboczy w różnych odmianach bipolarnych i „cemosowych” rodziny 74xx. Nie chodzi o czasy propagacji, czyli opóźnienia, tylko właśnie o czasy trwania zmian stanu logicznego. Nie wchodząc w szczegóły – rodzina 74AHC zapewnia czasy narastania i opadania rzędu 1 nanosekundy, a nawet mniej. A to ma istotne konsekwencje!

    Rigol DHO924S w praktyce: pomiar czasu narastania
    Fotografia 10


    Sumowanie czasów narastania i opadania
    Otóż pochodzący z instrukcji obsługi rysunek 3 informuje o parametrach „gołego” oscyloskopu. Natomiast czasy narastania i opadania widoczne na fotografii tytułowej oraz ilustracjach 1, 2, 4, 5 nie są czasami przedstawionymi w specyfikacji, czyli na rysunku 3! Nie są, ponieważ dochodzą do nich czasy narastania i opadania badanego generatora.

    A gdybyśmy użyli jakiejś sondy oscyloskopowej, czasy te byłyby jeszcze większe z powodu niedoskonałości sondy. Pozytywny wniosek jest taki, iż rzeczywiste czasy narastania badanego oscyloskopu są krótsze, lepsze niż pokazują rysunki i fotografie 1-5. Aby określić szczegóły, należałoby najpierw za pomocą jeszcze szybszego oscyloskopu określić czasy narastania i opadania prezentowanych generatorów, a potem obliczyć czasy „gołego” oscyloskopu DHO.
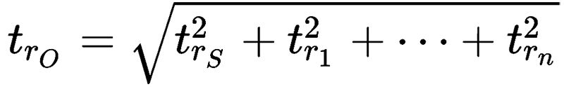
    Warto wiedzieć, że nie jest to zwyczajne sumowanie – dodawanie. Wypadkowy czas narastania czy opadania kaskadowo połączonych bloków obliczamy jako pierwiastek z sumy kwadratów:

    Rigol DHO924S w praktyce: pomiar czasu narastania


    W naszych przypadkach należałoby do tego rodzaju obliczeń wziąć dwa składniki: czas oscyloskopu i badanego generatora.

    To jest bardzo dobra wiadomość, że testowany oscyloskop DHO924S ma czasy narastania i opadania krótsze niż 1,4 ns. Jednak te informacje prowadzą też do wniosków, które wcale nie są oczywiste dla wszystkich użytkowników oscyloskopów.

    Otóż nieprzypadkowo w prezentowanych testach nie wykorzystałem sond oscyloskopowych ani innych kabli łączących, tylko podałem sygnał z generatora (o rezystancji wyjściowej 50 omów) bezpośrednio na (w tym przypadku wysokoomowe) gniazdo oscyloskopu. Zastosowanie sondy na pewno w jakimś stopniu opóźni badany sygnał, a może też spowodować pogorszenie czasów narastania i opadania.

    Ponadto wykorzystanie sondy czy kabla na pewno spowoduje dodatkowe problemy. Problemów tych zupełnie nie widać przy pomiarach sygnałów małej częstotliwości. Wystąpią one przy pomiarach szybkich przebiegów impulsowych oraz sygnałów wysokiej częstotliwości i mogą dramatycznie zafałszować obraz sytuacji. Warto mieć tego świadomość, a jeszcze lepiej zbadać ewentualne problemy z wykorzystaniem opisanych wcześniej generatorów impulsów.

    Fotografia 11 została zrobiona podczas testowania kilku moich sond z wykorzystaniem generatora impulsów 10-nanosekundowych. Maksymalna częstotliwość próbkowania tego budżetowego oscyloskopu to 1,25 GS/s, a gdy włączymy dwa kanały wyniesie ona tylko 0,625 GS/s, zaś przy włączeniu 4 kanałów tylko 0,312 GS/s. Dlatego by uniknąć pogorszenia rozdzielczości czasowej, w praktyce jednocześnie można badać co najwyżej dwa „szybkie” przebiegi.

    Rigol DHO924S w praktyce: pomiar czasu narastania
    Fotografia 11


    Kolejno mierzone przebiegi z różnych sond zapamiętywałem w pamięci jako REF1-REF5 i wyświetliłem na ekranie wraz z aktualnie mierzonymi.

    Przebiegi te lepiej widać na rysunku 12. Pierwszy z lewej, niebieski przebieg, to sygnał z wyjścia generatora, podawany przez trójnik BNC bezpośrednio na wejście 1 oscyloskopu. Pozostałe opóźnione przebiegi to obraz tego samego impulsu, ale podawany na inne wejście oscyloskopu za pośrednictwem różnych sond oscyloskopowych. Po pierwsze widać opóźnienie, czemu zresztą nie można się dziwić, bo sondy mają kable o znacznej długości i opóźnienie jest nieuniknione. Dużo gorsze jest deformowanie przebiegu, który przechodzi przez sondę.

    Rigol DHO924S w praktyce: pomiar czasu narastania
    Rysunek 12


    Omówienie szczegółów to bardzo obszerny temat, na co najmniej jeden oddzielny artykuł. Tutaj tylko go sygnalizuję. Także za pomocą fotografii 13, która przedstawia pomiar „na żywo” tego samego impulsu z 10-nanosekundowego generatora. Na ekranie żółty przebieg to sygnał z wyjścia generatora podawany wprost na kanał 1. Z użyciem trójnika BNC ten sam sygnał jest podawany na kanał 3, ale po drodze przechodzi przez kilkudziesięciocentymetrowy odcinek słabej jakości kabelka mikrofonowego oraz standardową sondę dołączaną do tego oscyloskopu, której tłumienie ustawione jest na 10:1. Zamiast impulsu otrzymujemy tłumiony przebieg sinusoidalny. A oczywiście jeszcze gorzej jest przy ustawieniu tłumienia sondy 1:1.

    Rigol DHO924S w praktyce: pomiar czasu narastania
    Fotografia 13


    Informacje te nie powinny przestraszyć. Wprost przeciwnie – powinny zachęcić do bliższego poznania nie tylko możliwości swojego oscyloskopu, ale też ograniczeń, wprowadzanych przez kable i sondy przy badaniu „szybkich” przebiegów.

    Testowany 250-megahercowy Rigol DHO924S ma parametry dynamiczne nawet lepsze, niż podaje firmowa specyfikacja, jednak można je łatwo zepsuć za pomocą nieoptymalnych kabli połączeniowych i sond. W następnym, czwartym artykule tej serii na praktycznych przykładach przedstawię kolejne możliwości tego interesującego oscyloskopu. ©
    Autor: Piotr Górecki

    Weź udział w konkursie NDN „Oscyloskop bez granic” do 31 marca 2024
    Do wygrania atrakcyjne urządzenia! Kliknij tu i dowiedz się więcej



    [WSPÓŁPRACA REKLAMOWA Z FIRMĄ NDN-Zbigniew Daniluk]

    Fajne? Ranking DIY
    O autorze
    magic9
    Redaktor
    Offline 
    Specjalizuje się w: redaktor treści elektroda
    magic9 napisał 911 postów o ocenie 444, pomógł 13 razy. Mieszka w mieście Kielce. Jest z nami od 2010 roku.
  • REKLAMA
  • #2 20975398
    TechEkspert
    Redaktor
    Spore jest to dla mnie zaskoczenie, że przekaźnikiem kontaktronowym można generować takie strome zbocza.
    Jednak gdzie można kupić przekaźniki ze stykami zwilżonymi rtęcią?
    Skoro termometry rtęciowe są wycofane to pewnie z kontaktronami też może być trudno?

    Co do oscyloskopu obecnie korzystam z Rigola i jeżeli kiedyś go wymienię to też na Rigola, dla mnie możliwości jakie udostępnia ten producent w niewygórowanej cenie, zwyczajnie wygrywają. To pewnie przykład pozytywnego odbierania marki podobnie jak użytkownicy np. samochodów kupują kolejne tego samego producenta i nie sprawdzają oferty innych producentów... Cóż to działa w dwie strony, albo się można zniechęcić albo przekonać do określonego producenta.
  • REKLAMA
  • #3 20978860
    rach_UMK
    Poziom 31  
    Na chłopski rozum, to na czas narastania powinien mieć wpływ jak jest duże próbkowanie oscyloskopu, niż pasmo przenoszenia. Ewentualnie rozdzielczość pionowa powinna pomóc w przedstawieniu wykresu.
    Ilość próbek dla 125Mhz i 250 MHz jest taka sama, więc czyżby są jakieś dodatkowe "sztuczki" zastosowane przez producenta?

    Pomijam fakt że jest około 1-2 próbki na okres przy czterech kanałach w okolicach maxa pasma oscyloskopu.
  • REKLAMA
  • #4 20980188
    zdziwiony
    Poziom 27  
    Rigol i nie tylko Rigol podkręcają lekko marketingowe parametry. Oczywiście nie jest to oscyloskop 4 kanałowy 250 MHz, co najwyżej dwukanałowy 250 MHz. Nawet przy pracy jednokanałowej jest to tylko pięć punktów na okres i nie wiele będzie mówił taki oscylogram. Firma jest kryta, bo nie mówi jawnej nieprawdy. Kupiłeś kliencie oscyloskop 250 MHz? Widać sinusoidę 250 MHz? Widać! No to o szo chodzi?
    @ TechEkspert. Nie warto przywiązywać się do marki. Pod koniec marca mają się pojawić w sklepach nowe małe Siglenty i być może warto się temu przyjrzeć.
  • #5 20985153
    piotrmirekk
    Poziom 1  
    Opisalbyś nam może bliżej dostępną w tym oscyloskopie tabele Bodego?
  • #6 20999371
    rach_UMK
    Poziom 31  
    Sugestia: Powyższy ciekawy eksperyment zrobić teraz z nowym 12-bit Siglentem :)
  • #7 20999389
    jack63
    Poziom 43  
    magic9 napisał:
    w praktyce: pomiar narastania czasu

    To błąd.
    Przecież chodzi o pomiar czasu narastania. Mierzymy czas a nie "narastanie".
    Proszę poprawić, bo wygląda to zabawnie, a do tego jest mało profesjonalne.
  • REKLAMA
  • #8 21009145
    Fimek
    Poziom 16  
    >>20978860
    Nie do końca tak jest, bo wystarczy zastosować próbkowanie ekwiwalentne, albo zebrać dłuższy rekord próbek i zastosować matematykę (w zasadzie wychodzi na to samo). Co więcej - spokojnie możesz mierzyć kształt przebiegu mając mniej niż jedną próbkę na okres, tyle że przebieg musi być powtarzalny - w przypadku pomiarów czasów narastania itp. nie stanowi to zwykle problemu.
  • #9 21013865
    analog_6
    Poziom 16  
    TO BARDZO ŹLE, że obserwowany czas narastania impulsu na ekranie jest INNY (w tym przypadku krótszy) niż oczekiwany wobec deklarowanego pasma przenoszenia. To uniemożliwia niektóre pomiary i świadczy o "brzydkiej" charakterystyce częstotliwościowej preampa na krańcu pasma, co niesie bardzo konkretne kłopoty metrologiczne. Przypominam, że oscyloskop z natury jest przyrządem pomiarowym.

    Z punktu widzenia elektronika lepszy jest oscyloskop z mniejszym ale płaskim pasmem niż chinol z pasmem na rzęsach, sztucznie podciąganym za uszy do góry. Każdy porządny oscyloskop szanującej się firmy, drogi lub tani bez różnicy, ma zależność pasmo-czas narastania jak drut. Bo to ważny parametr pomiarowy.
  • #10 21105213
    magicianpe
    Poziom 2  
    There is an alternative UI for the Rigol DHO800-900 Oscilloscopes, it
    implements some enhancements and fixes to the stock UI, the more
    interesting is a full screen mode which allows to get rid the two
    horizontal bars those take vertical screen space.

    https://www.youtube.com/watch?v=mT4ivaMY7zg
    Ekran oscyloskopu Rigol DHO800-900 z rozszerzonym UI w trybie pełnoekranowym.
REKLAMA