logo elektroda
logo elektroda
X
logo elektroda
REKLAMA
REKLAMA
Adblock/uBlockOrigin/AdGuard mogą powodować znikanie niektórych postów z powodu nowej reguły.

autoalarm fox jak ustawić mikrowyłączniki

Gruby37 27 Sty 2007 09:20 2396 7
REKLAMA
  • #1 3492538
    Gruby37
    Poziom 11  
    Witam.
    W passacie jest zamontowany autoalarm Fox dwie wtyczki zielone szerokie,dwie malutkie i z boku znajduje się wycięcie z mikrowyłącznikami bodajże 7 sztuk nie wiem jak je ustawić i co załączają.
    Prze łączylem pierwszy i kierunki cały czas mrugają , proszę o pomoc.
  • REKLAMA
  • #2 3492766
    serwisfox
    Poziom 13  
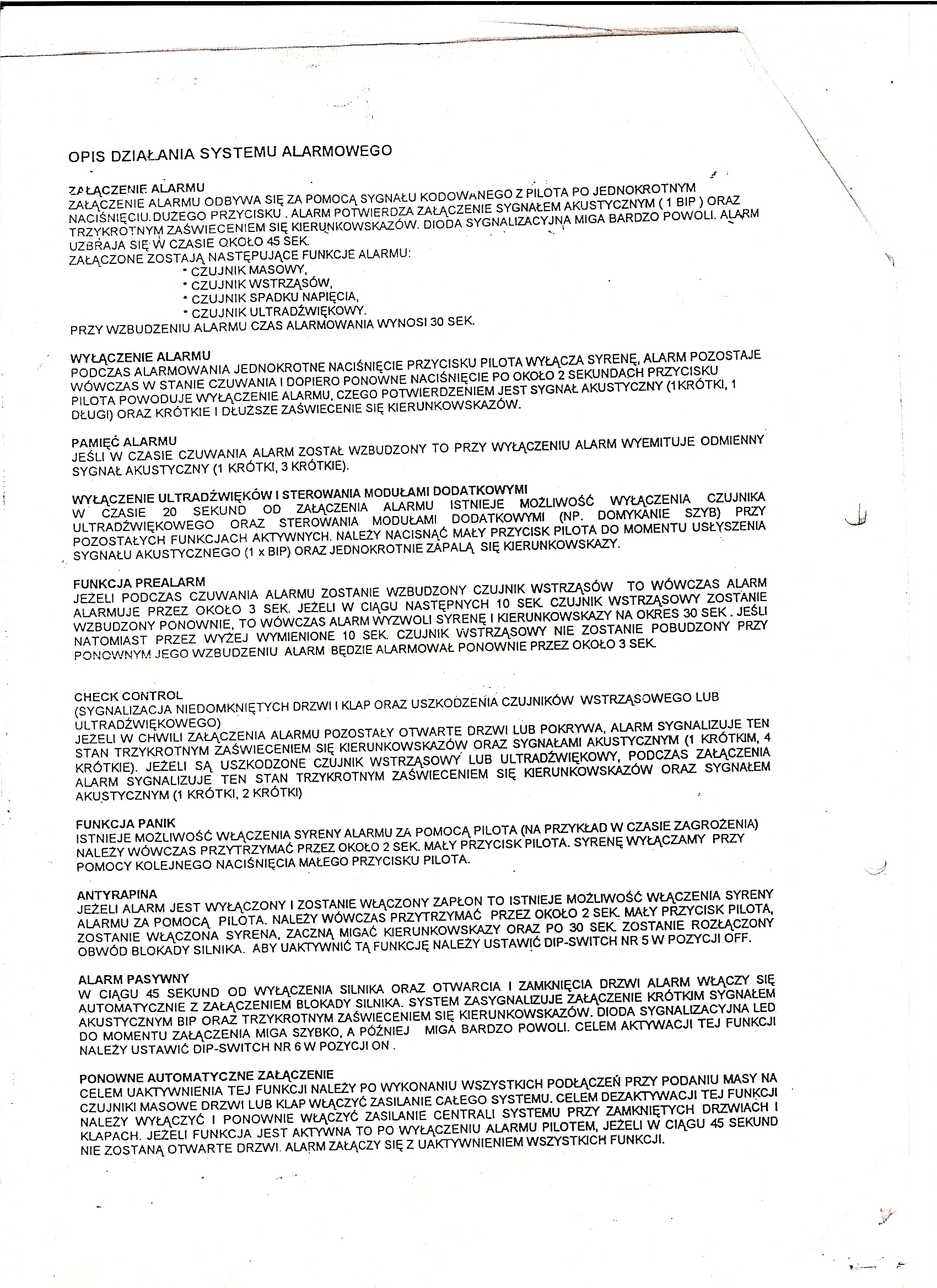
    jest to alarm FOX RND2 i jest tam 5 switch
    1 jest to autozapamiętywanie pilotów
    2 czas zamka zamknięcie ON 2 SEK OFF 6 SEK
    3 czas zamka otwarcia ON 2 SEK OFF 6 SEK
    4 czuj spatku napięcia
    5 antyrapina
    jezeli przełączyłeś 1 i migają kierunki to alarm wszedł w progamowanie pilotów teraz musisz nacisnąć pilota aż kierunki zaświecą się na stałe trwa to około 30 40 sek i tak samo z drugim po wszystkim przełącz switch na OFF jeżeli masz tylko jednego pilota muszisz zrobić to samo tym pilotem tylko dwa razy.
  • REKLAMA
  • #3 3498344
    Gruby37
    Poziom 11  
    Wielkie dzięki za zainteresowanie moim tematem .
    Mam jeszcze pytanie co do pilotów ,których obecnie nie posiadam
    czy jest możliwość dokupienia nowych pilotów i gdzie oraz czy pozostałe przełączniki można zakodować bez pilota?
  • #4 3501360
    Robert H
    Poziom 20  
    Gruby37 napisał:
    Wielkie dzięki za zainteresowanie moim tematem .
    Mam jeszcze pytanie co do pilotów ,których obecnie nie posiadam
    czy jest możliwość dokupienia nowych pilotów i gdzie oraz czy pozostałe przełączniki można zakodować bez pilota?

    np. Autosystemy Fox Sosnowiec tel 032 266 24 16
  • #5 3503161
    serwisfox
    Poziom 13  
    piloty możesz zamówić Autosystemy Fox Kraków 0122676922
  • REKLAMA
  • #6 3507546
    Gruby37
    Poziom 11  
    Wielkie dzięki serwisfox mam jeszcze kilka pytań pierwsze jaka byłaby cena takiego pilota , drugie to jak ustawić i zaprogramować autoalarm w moim passacie . Policzyłem mikrowyłączniki jest ich 6 szt. a nie 5 ale oznaczenie się zgadza , po podłączeniu wszystkich wtyczek otwierają się zamki w drzwiach za każdym zamknięciem kluczem po około 5 sek.
    Syrena była odłączona po włożeniu wtyczki zero reakcji , nie wiem czy jest sprawna i jak długo była odłączona.
  • #7 3507786
    serwisfox
    Poziom 13  
    Ten opis pisałem z pamięci i mogłem się pomylić co do tych mikrowyłączników, ale postaram przesłać cały opis tego alarmu tylko muszę go znaleźć, co do syreny jeżeli była odłączona to jest szansa, że jest uszkodzona ale najlepiej sprawdzić to jak zakodujesz pilota. Koszt takiego pilota jest około 80 zł netto.
  • REKLAMA
REKLAMA