logo elektroda
logo elektroda
X
logo elektroda
REKLAMA
REKLAMA
Adblock/uBlockOrigin/AdGuard mogą powodować znikanie niektórych postów z powodu nowej reguły.

mam filtr w matlab,ale nie wiem jak przefiltrować wav

des1gner 06 Lut 2007 16:46 3062 1
REKLAMA
  • #1 3535908
    des1gner
    Poziom 11  
    Chciałem się jeszcze dowiedzieć jak można wprowadzić plik muzyczny wav do zaprojektowanego filtru w matlab, a potem go przefiltrować i uzyskać wszystkie pożądane charakterystyki?? - jeśli potrzeba mogę dołączyć pliki mfile z filtrem oraz plik wav na którym chcę przeprowadzić filtrację.

    Plik wczytać można następująco:


    [x,Fs,bits]=wavread('test_signal.wav'); % x zwraca plik dzwiekowy
    Fs %zwraca czestotliwosc probkowania
    bits %zwraca liczbe bitow probkowania


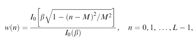
    Acha może by mi ktoś powiedział jak zapisać funkcje Kaisra przy pomocy edytora matlab?

    Ja funkcję okna Kaisera zapisałem tak (oznaczenia podstawić z dowolnej książki):

    %generowanie okna Kaisera
    w1=besseli(0, B*sqrt(1-((n-1)-M).^2/M^2));
    w2=besseli(0, B);
    w=w1/w2;
  • REKLAMA
  • #2 3537782
    AdamoAdamo
    Poziom 11  
    Chyba najlepiej zacząć od książki, w stylu "Wprowadzenie do DSP" Lyonsa, o ile dobrze pamiętam, to było napisane przystepnym językiem.
REKLAMA