logo elektroda
logo elektroda
X
logo elektroda
REKLAMA
REKLAMA
Adblock/uBlockOrigin/AdGuard mogą powodować znikanie niektórych postów z powodu nowej reguły.
REKLAMA
  • #1 3886798
    rafmos
    Poziom 13  
    Mam taki problem nie wiem jak obliczyć moc na podstawie FFT.
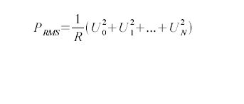
    Do wzmacniacz mocy podłączona jest regulowana rezystancja obciążenia. Do wyjścia równolegle podłączam przetwornik A/C i próbkuje sygnał zmienny następnie wykonuje FFT no i teraz moje pytanie jak odnieść widmo sygnału do mocy wydzielonej na rezystorze. Czy mogę obliczyć ją ze wzoru:
  • REKLAMA
  • #2 3896134
    qrdel
    Poziom 28  
    Dość dokładnie tak, jeśli Un są wartościami transformaty w kolejnych "kanałach" i jeśli prawidłowo użyłeś współczynników.
    O ile pamiętam o przeliczaniu mocy mówi tw. Parsevala.
    Wszystko to pod warunkiem użycia liniowego, czysto rezystancyjnego rezystora; przy obciążeniu np. kolumną głośnikową trzeba też mierzyć prąd i uwzględniać fazy.
  • #3 3896593
    rafmos
    Poziom 13  
    Dokładnie. Moc jest jest to kwadrat wartości skutecznej. Jeśli sygnał mierzony jest sygnałem napięciowym lub prądowym i moc wydzielona jest na oporniku czyli obciążenie jest czysto rezystancyjne to można skorzystać ze wzoru przedstawionego wyżej w moim poście.
  • REKLAMA
  • #4 3903573
    __Grzegorz__
    Poziom 30  
    Pytanie za 3 punkty:

    A co z energią sygnału o częstotliwości, na które akurat nie trafiły prążki FFT ?

    Przykładowo zrobiłeś FFT i masz prążki powiedzmy m.in. 100, 150, 200Hz.... Co z energią sygnału o częstotliwości przykładowo 127Hz, 180 Hz ?

    Czy na sygnał wejściowy było nakładane jakiekolwiek okno poprawiające parametry FFT i czy uwzględniono to w obliczeniach mocy ?

    Jestem ciekawy, czy autor postu zna na te pytania odpowiedzi :)
  • #5 3905164
    rafmos
    Poziom 13  
    Najprawdopodobniej chodzi Ci o odwzorowanie widmowe sygnału. Jest ono zależne przede wszystkim od liczby próbek, im większa liczba próbek tym lepsze odwzorowanie widmowe sygnału i tym lepiej (dokładniej) obliczymy moc jaką niesie ze sobą sygnał.
    Teraz tego nie jestem do końca pewien, ale jeśli nie trafimy dokładnie w prążek o określonej częstotliwości to wartość amplitudy dla tego prążka np 180 rozłoży się w prążkach leżących najbliżej tego prążka.
    Okna wprowadzają tłumienie, sygnał po wykonaniu FFT należy poddać skalowaniu tzn. pomnożyć przez współczynniki skalujące. Można też przejść na skalę decybelową i odnieść poszczególne prążki do pierwszej harmonicznej.
  • #6 3906614
    __Grzegorz__
    Poziom 30  
    Temat jak widzę "obcykany".

    Pozdrawiam.

    I przelewam punkty :)
  • #7 3938195
    qrdel
    Poziom 28  
    Może późno trochę się wybrałem, ale zaryzykuję.
    Do precyzyjnego znajdywania wartości dla konkretnych częstotliwości stosuje się tzw. "zero padding".
    Do rekordu danych, powiedzmy 1024 próbki dopisuje się na końcu pewną liczbę zer, np. 7168 (8192-1024) i całość poddaje się FFT.
    Otrzymuje się wynik o 8 razy większej rozdzielczości częstotliwościowej. twierdzenie Parsevala wciaż obowiazuje bo dodaliśmy przebieg o energii 0.
    Pojawiają się tylko pewne składowe o częstotliwościach mniejszych niż 1/(okres próbkowania) są one głównie "rozmazaną" energią z zerowego kanału (składowa stała) może z lekkim dodatkiem z sąsiednich kanałów (no takiej zupełnej jasności to tu nie mam).
    Nieco prościej jest gdy zgodnie ze wskazówkami mędrców przed FFT odejmiemy od przebiegu średnią, ale pewnie i wtedy coś się na niskich pojawi.
  • #8 4067647
    rafmos
    Poziom 13  
    Nie chce zaczynać nowego tematu, ale mam pytanie.
    Załóżmy próbkuje sygnał np. sinusa, o nieznanej częstotliwości maksymalną częstotliwością przetwornika A/C wykonuje FFT i znajduje sygnał (maksymalną harmoniczną z prążkami bocznymi) i chciałbym odtworzyć sygnał dokładniej w tym celu musze spróbkować sygnał jeszcze raz. Jak na podstawie widma uzyskanego z FFT dobrać częstotliwość próbkowania. Jak dobrać próg wartości amplitud aby nie doszło do aliasingu?
  • REKLAMA
  • #9 4067764
    Xitami
    Poziom 29  
    Bez filtra PRZED przetwornikiem nie masz pewności czy nie występuje aliasing! Chyba że wiesz coś o sygnale.
    Chcesz jak najdokładniej określić częstotliwość sygnału? Podnieść rozdzielczość można zbierając więcej próbek, albo wykonując dłuższą transformatę (uzupełnioną zerami). Albo robiąc "chirp fft".
    Ciekawe, czy analizując boczne listki można by powiedzieć coś więcej o częstotliwości sygnału, zakładając oczywiście, że jest to sinus jakości lepszej niż Hi-Fi.
  • #10 4070948
    rafmos
    Poziom 13  
    Nie o to mi chodzi albo nie rozumiem. Wytłumacze na przykładzie mam częstotliwość próbkowania 1MHz, wykonuje FFT 1024 punktową i wychodzi mi że prążek pierwszy jest największy, czyli częstotliwość sygnału wejściowego może być jeszcze mniejsza niż prążek pierwszy. Wiem że można zwiększyć liczbę próbek ale jeśli częstotliwość sygnału będzie bardzo mała np. 10Hz to FFT urośnie do ilu próbek?? Zmniejsze częstotliwość próbkowania i będzie ok. Jak na podstawie prążka głównego i prążków bocznych można określić gdzie jest sygnał a gdzie szum? i na tej podstawie określić nową częstotliwość próbkowania.
  • #11 4072281
    Paweł Es.
    VIP Zasłużony dla elektroda
    Chyba tak bezpośrednio to się nie da. Może raczej należy powiedzmy po stwierdzeniu najwyższego prążka, zmniejszyć próbkowanie o połowę i analizować położenie prążka i na podstawie tego decydować czy zwiększać czy zmniejszać częstotliwość próbkowania.

    Tylko musisz przyjąć jakiś warunek na wykrycie znaczącego prążka np. że poprzedni i następny są niższe o 6 dB.

    Inna metoda to zmierzenie częstotliwości przez przepuszczenie sygnału przez funkcję z histerezą i liczenie ile próbek trwa okres pomiędzy dwoma zboczami narastającymi rozdzielonym opadającym (lub odwrotnie).

    Tylko dobrze byłoby przepuścić sygnał przedtem przez filtr górno przepustowy by wyciąć składową stał i jakiś filtr dolnoprzepustowy by wygładzić przebieg przed przepuszczeniem przez "bramkę" z histerezą.
    Poziom histerezy można dobierać jako procent wartości maksymalnej w przedziale (po usunięciu składowej stałej).

    Jeżeli w analizowanym fragmencie nie wystąpią dwa zbocza opadające rozdzielone narastającym lub dwa zbocza narastające rozdzielone opadającym to znaczy, że fp jest zbyt wysokie i w oknie nie mieści się cały okres sygnału. Wtedy, np. zmniejszasz fp i badasz od nowa.

    jak znajdziesz zbocze to zaczynasz liczyć próbki a gdy znajdziesz następne poprzedzone przeciwnym to przestajesz. Zliczone próbki niosą informacje o okresie (o ile go wykryto).

    Określiwszy w przybliżeniu okres sygnału, możesz to użyć jako wyjście do dalszej analizy FFT.

    Oczywiście problem będzie w przypadku sygnałów, gdzie występują formanty zakłócające normalny rozkład poziomów harmonicznych, gdzie wyższa harmoniczna ma poziom niższy od niższej harmonicznej.
  • REKLAMA
  • #12 4072557
    rafmos
    Poziom 13  
    Czyli operacje po stronie czasowej, a słyszał ktoś może coś histogramie Schroedera.
  • #13 4228749
    rafmos
    Poziom 13  
    Mam pytanie jak obliczyć wartość napięcia skutecznego na podstawie FFT bo nie jestem już sam tego pewien. Czy mógłby mnie ktoś ewentualnie poprawić. Wykonuje transformate FFT dla sygnału rzeczywistego, obliczam moduł no i teraz normalizuje. W jednych książkach pisze, że mam podzielić wszystkie prążki przez N/2 w innych, że prążek 0 i N/2 trzeba podzielić przez N. No że jest to wartość skuteczna to musze podzielić jeszcze przez √2. Później podnieść do kwadratu i zsumować.
  • #14 4229604
    __Grzegorz__
    Poziom 30  
    Prążki pierwszy i ostatni normalizujesz dzieląc przez N, pozostałe przez N/2...

    Wytłumaczenie graficzne tego faktu masz w książce Stevena Smitha
    "Cyfrowe przetwarzanie sygnałów - Praktyczny poradnik dla inżynierów i naukowców", w rozdziale 8, na stronie 155
REKLAMA