Witam
Na drugim semestrze zanim wogóle był wstęp do pochodnych zaczęliśmy z kopyta z automatyką, gdzie niemalże wszystko wykładane jest na całkach. Temat sygnałów bardzo mnie interesuje i chcąc trochę podgonić w tym temacie przerobiłem szybciej pochodne i całki, a teraz próbuję przerobić trochę materiału z automatyki, ale bez pomocy nie dam rady. Pierwsze zadanie:
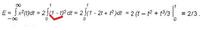
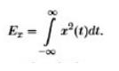
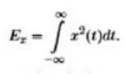
Oblicz energię impulsu w postaci trójkąta równoramiennego o wysokości równej jedności i czasie trwania w przedziale (-1,1) sekund.
najpierw wyznaczam wzór funkcji, dla połowy trójkąta to f(x) = x i teraz wartość średnia to 2∫x = x²
Teraz energia:
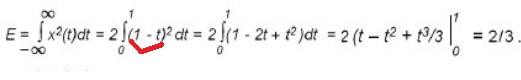
będzie całka od 0 do 1 ==> 2∫x² = 2/3•x³ za x =>1 czyli energia wyniesie 2/3 i fajnie wynik mi się zgadza ale:
skąd wzięło się 1-t w nawiasie?
To na razie był prosty przykład, chciałbym jeżeli można też zadać pytania z następnych, które na razie próbuję sam rozwiązać. Mam nadzieję, że temat w dobrym dziale.
Dodano po 32 [minuty]:
No i już mam kolejne pytanie do zadania drugiego:
Pewnie jeżeli zadanie byłoby na liczbach to nie miałbym problemu. Tu najpierw muszę policzyć moc i najlepiej dla 1/4 okresu a potem razy 4, zatem:
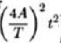
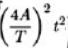
Px=4/T∫x² = 4/T•1/3•x³ = 4/3T•A³ no i tu już trochę się gubię, a jak widzę rozwiązanie
to nie wiem skąd to się wzięło:

Na drugim semestrze zanim wogóle był wstęp do pochodnych zaczęliśmy z kopyta z automatyką, gdzie niemalże wszystko wykładane jest na całkach. Temat sygnałów bardzo mnie interesuje i chcąc trochę podgonić w tym temacie przerobiłem szybciej pochodne i całki, a teraz próbuję przerobić trochę materiału z automatyki, ale bez pomocy nie dam rady. Pierwsze zadanie:
Oblicz energię impulsu w postaci trójkąta równoramiennego o wysokości równej jedności i czasie trwania w przedziale (-1,1) sekund.
najpierw wyznaczam wzór funkcji, dla połowy trójkąta to f(x) = x i teraz wartość średnia to 2∫x = x²
Teraz energia:
będzie całka od 0 do 1 ==> 2∫x² = 2/3•x³ za x =>1 czyli energia wyniesie 2/3 i fajnie wynik mi się zgadza ale:
skąd wzięło się 1-t w nawiasie?
To na razie był prosty przykład, chciałbym jeżeli można też zadać pytania z następnych, które na razie próbuję sam rozwiązać. Mam nadzieję, że temat w dobrym dziale.
Dodano po 32 [minuty]:
No i już mam kolejne pytanie do zadania drugiego:
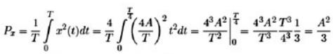
Pewnie jeżeli zadanie byłoby na liczbach to nie miałbym problemu. Tu najpierw muszę policzyć moc i najlepiej dla 1/4 okresu a potem razy 4, zatem:
Px=4/T∫x² = 4/T•1/3•x³ = 4/3T•A³ no i tu już trochę się gubię, a jak widzę rozwiązanie
to nie wiem skąd to się wzięło:
