Witam!
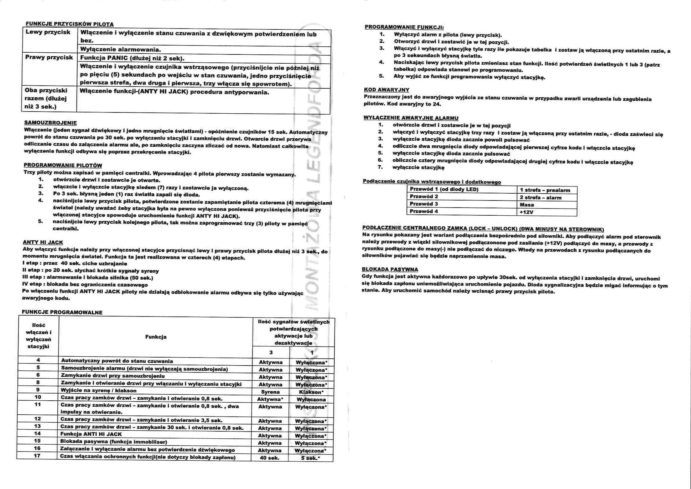
Mam pytanko odnosnie tego alarmu, czyli Legendford F-14, uzywam go juz od Sierpnia jestem zadowolony, ale dzisiaj przydarzyla mi sie dosc niemila rzecz, a mianowicie otworzylem drzwi i siegajac po kluczyki i pilot od alarmu wcisnalem zabezpieczenie alarmu, wszystkie drzwi sie zamknely oprocz tych od kierowcy, wciskalem przycisk alarmu zeby go rozbroic i centralny nie odbezpieczal sie. Zeby drzwi nadal poprawnie zamykaly sie z pilota wraz z alarmem zazwyczaj wkladalem kluczy i przekracalem go, zeby centralny zalapal i odskoczyly drzwi, w tym przypadku nie da rady, bo zamek jest zamarzniety i nie moge wsadzic kluczyka do drzwi. Narazie zamknalem wszystkie drzwi oprocz kierowcy (chodzi o zamek) i zalaczylem alarm, ale nie wiem co dalej. Wie ktos co mozna zrobic jesli niechcacy wlaczy sie alarm przy otwartych drzwiach np od kierowcy? Jak go wyzerowac lub cos z nim zrobic? W instrukcji nic nie wyczytalem. Obecnie auto stoi w garazu, wiec nic mu nie grozi, ale w razie czego jak pojade do pracy to nie moge zostawic auta otwartego.
Bede wdzieczny o pomoc. Prosze!
Mam pytanko odnosnie tego alarmu, czyli Legendford F-14, uzywam go juz od Sierpnia jestem zadowolony, ale dzisiaj przydarzyla mi sie dosc niemila rzecz, a mianowicie otworzylem drzwi i siegajac po kluczyki i pilot od alarmu wcisnalem zabezpieczenie alarmu, wszystkie drzwi sie zamknely oprocz tych od kierowcy, wciskalem przycisk alarmu zeby go rozbroic i centralny nie odbezpieczal sie. Zeby drzwi nadal poprawnie zamykaly sie z pilota wraz z alarmem zazwyczaj wkladalem kluczy i przekracalem go, zeby centralny zalapal i odskoczyly drzwi, w tym przypadku nie da rady, bo zamek jest zamarzniety i nie moge wsadzic kluczyka do drzwi. Narazie zamknalem wszystkie drzwi oprocz kierowcy (chodzi o zamek) i zalaczylem alarm, ale nie wiem co dalej. Wie ktos co mozna zrobic jesli niechcacy wlaczy sie alarm przy otwartych drzwiach np od kierowcy? Jak go wyzerowac lub cos z nim zrobic? W instrukcji nic nie wyczytalem. Obecnie auto stoi w garazu, wiec nic mu nie grozi, ale w razie czego jak pojade do pracy to nie moge zostawic auta otwartego.
Bede wdzieczny o pomoc. Prosze!